ÐÂÎŶ¯Ì¬
4-(Êå¶¡»ù¶þ¼×»ù¼×¹èÍé»ù)Ñõ´ú-1-¶¡´¼ÎªÎÞÉ«ÖÁµ»ÆÉ«ÓÍ×´ÎCASºÅΪ87184-99-4¡£¸Ã»¯ºÏÎïÊÇÓɶÔ1,4-¶¡¶þ´¼¾ÙÐÐTBSµ¥±£»¤»ñµÃ£¬TBS×÷ΪôÇ»ù±£»¤»ùÍÅ£¬ÔÚ¼îÐÔÌõ¼þÏÂÎȹ̡£ÓÉ´ËÌØÕ÷£¬4-(Êå¶¡»ù¶þ¼×»ù¼×¹èÍé»ù)Ñõ´ú-1-¶¡´¼¿ÉÒÔÔÚ¼îÐÔÌõ¼þ϶ÔÁíÒ»¶ËôÇ»ù¾ÙÐÐÐÞÊΡ£½«4-(Êå¶¡»ù¶þ¼×»ù¼×¹èÍé»ù)Ñõ´ú-1-¶¡´¼µÄôÇ»ùÍÑÇâÌìÉúÈ©¿ÉÒÔ×÷ΪºÏ³É¿¹ÑªÄýÒ©±´Ç°ÏßËØÄÆÆ¬µÄÖÐÐÄÌ壬Ñõ»¯³ÉËáÔò¿ÉÓÃÓںϳɰ©Ï¸°û¸ÉÒÖÖÆ¼Á(Napabucasin)ÑÜÉúÎҲ¿ÉÖ±½ÓÓÃÓÚROCK¼¤Ã¸ÒÖÖÆ¼Á¡¢ßÅßá°·2,3-Ë«¼ÓÑõø(IDO)µÄø»îÐÔµ÷Àí¼ÁµÄºÏ³É¡£
01
±´Ç°ÏßËØÄÆµÄºÏ³É
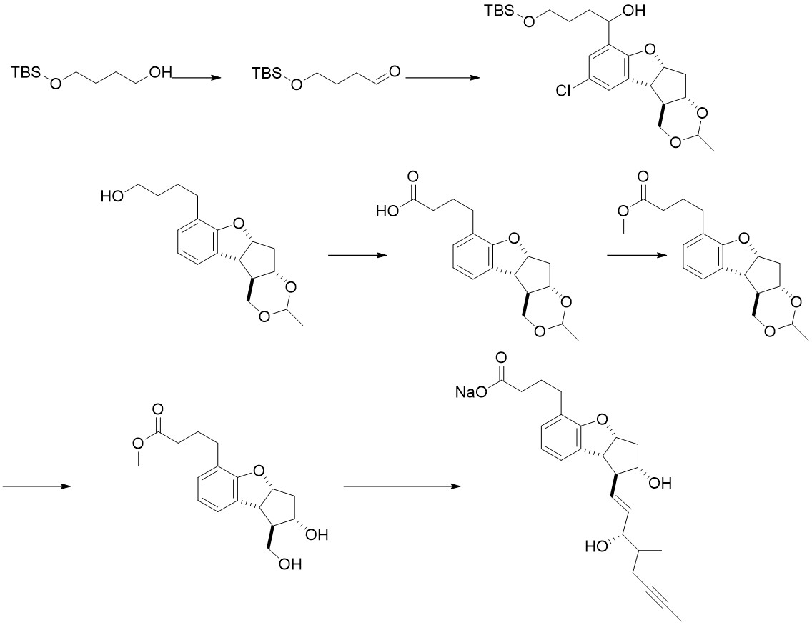
ÒÔ4-(Êå¶¡»ù¶þ¼×»ù¼×¹èÍé»ù)Ñõ´ú-1-¶¡´¼ÎªÖÊÁÏ£¬¿ÉÒÔÖÆ³É±´Ç°ÏßËØÄÆ¡£±´Ç°ÏßËØ£¨ÆäºÏ³Éõè¾¶¼ûͼһ£©ÊÇÒ»ÖÖǰÏß»·ËصÄÑÜÉúÎÆäÔÚǰÏßËØµÄ´Î¼¶ÎåÔª»·Éϲ¢ÁªÒ»¸ö±½»·£¬ÔöÌíÁË·Ö×ÓµÄÎȹÌÐÔ¡£±´Ç°ÏßËØÄÆÊÇ¿¹ÑªÄýÒ©±´Ç°ÏßËØµÄÄÆÑÎÐÎʽ£¬ÊÊÓÃÓڷζ¯Âö¸ßѹ¡¢ÂýÐÔ¶¯Âö±ÕÈûÐÔ¼²²¡ÒýÆðµÄ¼äЪÐÔõËÐС¢ÌÛÍ´ºÍÀä¸ÐµÈÖ¢×´¡£

ͼһ ±´Ç°ÏßËØµÄºÏ³É
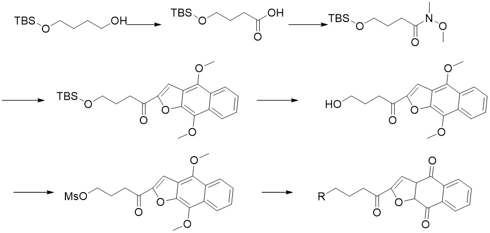
½«4-(Êå¶¡»ù¶þ¼×»ù¼×¹èÍé»ù)Ñõ´ú-1-¶¡´¼Î´±»±£»¤µÄôÇ»ùÑõ»¯³ÉËᣬ¿ÉÒÔÓÃÓںϳɰ©Ï¸°û¸ÉÒÖÖÆ¼ÁNapabucasinµÄÑÜÉúÎÆäºÏ³Éõè¾¶¼ûͼ¶þ£©£¬NapabucasinÊÇÒ»ÖÖ¿Ú·þµÄÝÁõ«ÀàС·Ö×Ó£¬°ÐÏòÐźÅתµ¼ºÍת¼»î»¯Òò×ÓSTAT3ͨ·£¬×èÖ¹Ö×Áö¸Éϸ°û»îÐÔ£¬¿ÉÓÃÓÚÖÎÁư©Ö¢¸Éϸ°û£¬¾ßÓÐÔÚ¶àÖÖ°©Ö¢ÀàÐÍÒÖÖÆ°©Ï¸°û×ªÒÆºÍ±ÜÃâ°©Ö¢¸´·¢µÄDZÁ¦¡£µ«NapabucasinÏûÈڶȲîÏÞÖÆÁËËüµÄÓ¦Óã¬NapabucasinÑÜÉúÎïÒ»¶¨Ë®Æ½ÉϸÄÉÆÁËÏûÈڶȵÄÎÊÌ⣬ʹNapabucasin¿ÉÒÔ¸üºÃµØ±»Ó¦ÓÃÓÚ°©Ö¢¸Éϸ°ûµÄÖÎÁÆÖС£

ͼ¶þ NapabucasinµÄÑÜÉúÎïµÄºÏ³Éõè¾¶
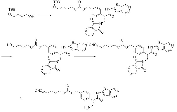
(S)-4-(3-°±»ù-1-Ñõ´ú-1-(àç·Ô²¢[2,3-c]ßÁà¤-2-»ù°±»ù)±û-2-»ù)Üлù(4-(Ïõ»ùÑõ»ù)¶¡»ù)̼Ëáõ¥ÊÇÒ»ÖÖROCK¼¤Ã¸ÒÖÖÆ¼ÁµÄÏõ»ùÑõÑÜÉúÎï¡£ROCK¼¤Ã¸ÒÖÖÆ¼Á¿ÉÓÃÓÚÖÎÁÆÇà¹âÑÛºÍÊÓÍøÄ¤¼²²¡£¬¶øNOÔÚµ÷ÀíÑÛ¾¦ÄÚѹÖÐÓÖ¾ßÓÐÖ÷ÒªµÄÐÄÀí×÷Óã¬ROCK¼¤Ã¸ÒÖÖÆ¼ÁµÄÏõ»ùÑõÑÜÉúÎïͬʱ¾ßÓÐÒÖÖÆ×÷ÓÃÇÒÊÇNOµÄ¹©Ì壬Äܹ»¸üºÃµØ½µµÍÑÛÄÚѹ£¬ÖÎÁÆÊÓÍøÄ¤¼²²¡¡£ÆäºÏ³Éõè¾¶£¨¼ûͼÈý£©ÈçÏ£º

ͼÈý Ò»ÖÖROCK¼¤Ã¸ÒÖÖÆ¼ÁµÄÏõ»ùÑõÑÜÉúÎïµÄºÏ³Éõè¾¶
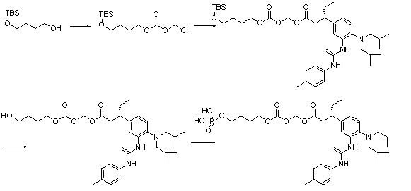
ßÅßá°·2,3-Ë«¼ÓÑõøIDOÔÚÃâÒßµ÷ÀíÖÐÆð×ÅÖ÷Òª×÷Óã¬Í¨¹ýµ÷ÀíIDO¿ÉÒÔµ÷¿ØÃâÒß¹¦Ð§£¬¶ÔÐí¶à¼²²¡¡¢ÔÓÂÒºÍ״̬±¬·¢ÖÎÁÆ×÷Óá£IDOÓëÖ×ÁöÖ®¼ä±£´æ²¡ÀíÐÄÀíÁªÏµ£¬ÃâÒßÎÈ̬µÄÆÆËðÓëÖ×ÁöµÄÉú³¤ºÍÏ£ÍûÇ×½üÏà¹Ø¡£Ö×Áö΢ÇéÐÎÖÐIDOµÄ±¬·¢ËƺõÓÐÖúÓÚÖ×ÁöµÄÉú³¤ºÍ×ªÒÆ¡£ÏÖÔÚIDOС·Ö×ÓÒÖÖÆ¼ÁÒѱ»¿ª·¢ÓÃÓÚÖÎÁÆ»òÔ¤·ÀIDOÏà¹Ø¼²²¡£¬Èç(S)-((4-(Á×Ëá»ù)¶¡»ù)ôÊ»ù)Ñõ)¼×»ù3-(4-(¶þÒì¶¡»ù°±»ù)-3-(3-(Êå¶¡»ù)ëå»ù)±½)ÎìËáõ¥ÊÇ4-(Êå¶¡»ù¶þ¼×»ù¼×¹èÍé»ù)Ñõ´ú-1-¶¡´¼ÎªÆðʼÖÊÁϵġ£ÆäºÏ³Éõè¾¶£¨¼ûͼËÄ£©ÈçÏ£º

ͼËÄ Ò»ÖÖIDOßÅßá°·2,3-Ë«¼ÓÑõøµÄºÏ³É
4-(Êå¶¡»ù¶þ¼×»ù¼×¹èÍé»ù)Ñõ´ú-1-¶¡´¼»¹¿É±»ÖƱ¸ÎªÃÑ¡¢ÍªµÈ»¯ºÏÎ¿ÉÒÔÓÃÓÚÖÖÖÖÖÆÆ·Ò©¼Á¼°Ò©ÎïÖÐÐÄÌåµÄºÏ³É£¬¾ßÓкܺõÄÓ¦ÓÃÊг¡£¬¶øÆäµÄºÏ³É¾ßÓÐÒ»¶¨µÄÄѵ㣬ÔںϳÉÀú³ÌÖлáÌìÉúTBS±£»¤»ùË«±£»¤µÄ¸±²úÆ·£¬Á½Õ߷е㿿½ü£¬ÄÑÒÔͨ¹ýÕôÁó´¿»¯£¬Í¬Ê±Á½ÕßÔÚ³£¼ûÈܼÁÖÐÏûÈڶȽϺã¬ÄÑÒÔÊèÉ¢¡£ÌÚ²©tengbo9885¹ÙÍøÉúÎïÒÑ¾ÕÆÎÕ4-(Êå¶¡»ù¶þ¼×»ù¼×¹èÍé»ù)Ñõ´ú-1-¶¡´¼ºÏ³ÉÒÔ¼°ÊèÉ¢Ìá´¿ÄÑÌ⣬¿É½øÒ»²½ÊµÏÖ4-(Êå¶¡»ù¶þ¼×»ù¼×¹èÍé»ù)Ñõ´ú-1-¶¡´¼µÄÁ¿²ú»¯£¬ÎªÊг¡Ìṩ¸üΪÓÅÖʵÄÒ©ÎïºÏ³ÉÖÐÐÄÌå¡£

