ÐÂÎŶ¯Ì¬
ëæÊǺ¬ÓÐÌþ»ùºÍÇè»ùµÄ̼Ô×ÓÅþÁ¬¶ø³ÉµÄÓлú»¯ºÏÎÊÇÖ÷ÒªµÄÒ©ÎïºÏ³ÉÖÐÐÄÌ壬¶øëæµÄºÏ³ÉÔòÊÇÓлúºÏ³ÉÖкÜÊÇÖ÷ÒªµÄÒ»²¿·Ö£¬ËüÒ»Ñùƽ³£¾ÓÉÈçϼ¸ÖÖÒªÁìÖÆ±¸£º
Ò»¡¢Ö¬·¾Â±´úÌþ»ò»ÇËáõ¥Óë½ðÊôÇ軯ÎïµÄÇ׺ËÈ¡´ú·´Ó¦
Ö¬·¾ÏµÍ³ÖеÄÇ׺ËÈ¡´ú·´Ó¦ÊÇ×îÊÜÓлú»¯Ñ§¼Ò×¢ÖØµÄµ¥Î»·´Ó¦Ö®Ò»£¬ÆäÖÐÖ¬·¾Â±´úÌþ»ò»ÇËáõ¥Óë½ðÊôÇ軯ÎïµÄÇ׺ËÈ¡´úºÏ³Éëæ»ñµÃÁËÆÕ±éµÄÓ¦Óã¬Í¨Ê½ÈçÏ£º

ÓÐʱºî£¬µ±·Çµâ´úµÄ±´úÌþ·´Ó¦»îÐÔ²»·óʱ£¬ÐèÒªÔÚ·´Ó¦ÏµÍ³ÖмÓÈëKI»ò NaIÔöÌí±´úÌþ·´Ó¦»îÐÔ¡£·´Ó¦ÊµÀýÈçÏÂͼËùʾ£º


¶þ¡¢·¼Ïã±´úÌþÔÚ½ðÊô´ß»¯×÷ÓÃϵÄëæ»¯·´Ó¦
·¼ë滯ºÏÎïÔÚÓлúºÏ³ÉÖÐÕ¼ÓкÜÊÇÖ÷ÒªµÄְ룬ÓÈÆäÊÇÔÚȾÁÏ¡¢³ý²Ý¼Á¡¢Å©Óû¯Ñ§Æ·¡¢Ò©Îï¼°×ÔÈ»²úÆ·ÖÐÓ¦ÓúÜÊÇÆÕ±é¡£·´Ó¦ÊµÀýÈçÏÂͼËùʾ£º


Èý¡¢TMSCNת»¯ôÇ»ùµ½ëæ
¹ØÓÚ·¼»ùÜÐλµÄôÇ»ù£¬TMSCN¿ÉÒÔ¾ÙÐÐÖÖÖÖÇ׺˷´Ó¦ÖƱ¸ëæ¡£·´Ó¦ÊµÀýÈçÏ£º


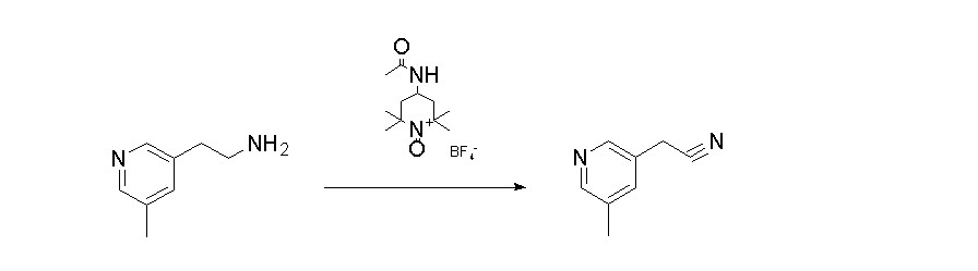
ËÄ¡¢°·ÍÑÇâÖÆ±¸ëæ
Óɰ·ÖƱ¸ëæµÄÒªÁìÒ²½Ï¶à£¬2-µâõ£»ù±½¼×ËᣨIBX£©¡¢´ÎÂÈËáÄÆ¡¢ÖظõËáÑ̼îµÈÊÔ¼ÁÔÚ²î±ðÌõ¼þÏÂʵÏÖ¡£·´Ó¦ÊµÀýÈçÏ£º


Îå¡¢ë¿ÍÑË®ÖÆ±¸ëæ
·¼Ïã»òÍé»ùµÄÈ©¿ÉÒÔͨ¹ýתÄð³Éë¿ÔÙÍÑË®³ÉÏìÓ¦µÄëæ¡£ÍÑË®ÊÔ¼ÁÈçÂÈ»¯ÑÇí¿¡¢Èýä廯Áס¢Ñõ»¯Ð¿/ÒÒõ£Âȵȣ¬Óëµ×ÎïÔÚ²î±ðϵͳÖÐÍÑË®ÖÆ±¸ë棬·´Ó¦ÊµÀýÈçÏ£º


Áù¡¢õ£°·ÍÑË®ÖÆ±¸ëæ
õ£°·ÍÑË®ÖÆ±¸ëæÊÇʵÑéÊҽϳ£ÓõÄÒªÁìÖ®Ò»£¬·´Ó¦Í¨Ê½ÈçÏ£º

³£ÓÃÍÑË®¼ÁP2O5¡¢POCl3¡¢SOCl2¡¢PCl5¡¢T3P¡¢Èý¾ÛÂÈÇè¡¢Èý·úÒÒËáôûµÈµÈ£¬·´Ó¦ÊµÀýÈçÏ£º



ÒÔÉÏÕâЩÍÑË®ÊÔ¼Á¶àÔÚËáÐÔÌõ¼þÏ·´Ó¦£¬¹ØÓÚËáÃô¸ÐµÄµ×ÎïÊDz»ÊÊÓõģ¬Òò´ËÈËÃÇÒ²¿ª·¢ÁËÐí¶àÔ½·¢ÎÂ˳µÄÒªÁìÓÃÓÚõ£°·µÄÍÑË®£¬ÈçBurgess reagent£¨N-£¨ÈýÒÒ°·»ùÁòõ££©°±»ù¼×Ëá¼×õ¥£©£¬Èý·ú´×Ëáôû(TFAA)£ÈýÒÒ°·£¬(COCl)2-NEt3-DMSO µÈÌõ¼þ¿ÉÒÔÔÚµÍÎÂ˳ÏÕЩÖÐÐÔµÄÌõ¼þÏ·´Ó¦¡£
ÖµµÃÒ»ÌáµÄÊÇBurgess reagentÍÑË®¼ÁÔÚйڲ¡¶¾ÖÎÁÆÒ©ÎïµÄºÏ³ÉÖУ¬ÆäÍÑË®×÷ÓÃÊܵ½ÖØÊÓ¡£¼ÓÈë·´Ó¦ÈçÏ£º

³ýÁËÒÔÉÏÒªÁìʵÑéÖÐÉÐÓÐһЩ·ÇͨÀýÒªÁìÀ´ÖƱ¸ë棬ÈçʹÓÃSandmeyer·´Ó¦£¬ÏÈÖØµª»¯ÔÙºÍÇ軯ͷ´Ó¦ÖƱ¸·¼»ùëæ£»ÒÔȩΪµ×ÎïµÄSchmidt·´Ó¦£»Van Leusen·´Ó¦£»aza-ClaisenÖØÅÅ·´Ó¦µÈµÈ¡£
²Î¿¼ÎÄÏ×£º
1. J. Chem. Soc., Perkin Trans. 1, 1998, 3479¨C3484
2. J . Med. Chem. 1983, 26, 608-611
3. Bioorg. Med. Chem. 11, 18, 2003, 4093-4102.
4. Organic Process Research & Development 2001, 5, 587-592
5. J. Med. Chem. 1990, 33, 1128-1138
6. Chem Pharm Bull. 1991, 89-3201
