ÐÂÎŶ¯Ì¬
Boc-ËáôûµÄÓ¦Óüò½é
Boc-ËáôûÓÖ³ÆÎª¶þ̼Ëá¶þÊå¶¡õ¥£¬·Ö×ÓʽC10H18O5£¬·Ö×ÓÁ¿Îª218.25£¬·ÐµãΪ185.2¡æ£¬Æä½á¹¹Ê½ÈçͼһËùʾ¡£

ͼһ
Boc-ËáôûÔÚÓлúºÏ³ÉÖÐÍùÍùÓÃ×÷ÒýÈëÊå¶¡ÑõôÊ»ù±£»¤»ù£¬ÌØÊâÊÊÓÃÓÚ°±»ùËáÖа±»ùµÄ±£»¤[1]¡£ÆÕ±éÓ¦ÓÃÓÚÒ½Ò©¡¢ÂѰ×Öʼ°¶àëĺϳɡ¢ÉúÎﻯѧ¡¢Ê³Îï¡¢»¯×±Æ·µÈ¶àÖÖ²úÆ·µÄºÏ³ÉÖС£±¾ÎĽ«¼òÆÓÏÈÈÝBoc-ËáôûÒýÈëÓëÍѳýBoc±£»¤»ùµÄÒªÁìºÍ»úÀí¡£
Boc±£»¤»ùµÄÒýÈë
°±»ùÉÏʹÓÃBoc-ËáôûÀ´ÉÏBocµÄÕ½ÂÔÓÐÐí¶à£¬Í¨³£Óõ½µÄÎÞ»ú¼îΪNaOH¡¢NaHCO3£»Óлú¼îΪÈýÒÒ°·µÈ£»ÈܼÁ³£Îª¶þÑõÁù»·¡¢Ë®»òÕß´¼¡£ÓÐЩÇ׺ËÐԵ͵İ·ÐèÒª¼Ódmap×÷Ϊ´ß»¯¼Á¡£
ÀýÈ磬Joseph A.±¨µÀÁËʹÓÃ2-°±»ù-1-(4-äå±½»ù)ÒÒ»ù-1-ͪÓëBoc-ËáôûÔÚÓлú¼îÈýÒÒ°·Ï£¬³£ÎÂסËÞ½Á°è¾Í¿ÉÒÔÒÔÏÕЩ¶¨Á¿µÄÊÕÂÊ»ñµÃÉÏBoc±£»¤»ùµÄ²úÆ·¡£·´Ó¦Ìõ¼þÎÂ˳£¬ÊÕÂʸß[2]¡£

ͼ¶þ
¶ø»Çõ£°·ÀàµÄµ×Îï¿ÉÄÜÊÇÓÉÓÚ»Çõ£»ùµÄÇ¿Îüµç×Ó×÷Óõ¼Ö°±»ùµÄÇ׺ËÐÔ²»¸ß£¬´Ó¶øÔÚÉÏBocµÄ·´Ó¦ÖÐÐèÒª¼ÓÈë´ß»¯Á¿µÄdmap(4-¶þ¼×°±»ùßÁà¤)´ß»¯[3]£¬ÀýÈçͼÈý¡£

ͼÈý
µ±µ×ÎïÖÐͬʱº¬ÓÐÁ½¸ö°±»ùʱ£¬ÉÏBocµÄ·´Ó¦ÍùÍù¾ßÓÐÑ¡ÔñÐÔ[4]¡£ÀýÈçͼËÄ£¬Boc-ËáôûÔÚ̼ËáÇâÄÆ¼îÐÔÌõ¼þÏ£¬ÒÔ97%ÊÕÂʼòµ¥µÄÔÚÖ¬·¾°·ÉÏBoc¡£ÕâÊÇÓÉÓÚÖ¬·¾°·µÄ¼îÐÔ¡¢Ç׺ËÐÔÇ¿ÓÚ·¼Ïã°·£»¶ø·¼Ïã°·ÁÚÎ»Â±ËØÂÈÊÇÈõÎüµç×Ó»ùÍÅ£¬½øÒ»²½½µµÍÁË·¼Ïã°·µÄÇ׺ËÐÔ¡£

ͼËÄ
±ðµÄ£¬ÎÄÏ×µ÷Ñз¢Ã÷£¬ÔÚÖÊ×ÓÐÔÈܼÁÖУ¬ÀýÈç¼×´¼¡¢ÒÒ´¼£¬ÓÐЩ֬·¾°·»òÕß·¼Ïã°·¿ÉÒÔÔÚ²»¼Ó¼îµÄÇéÐÎÏ£¬¸ßÊÕÂʵĻñµÃÉÏBocµÄ²úÆ·[5]¡£ÀýÈçͼÎåËùʾ¡£

ͼÎå
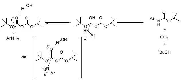
×÷ÕßÌá³öÁË¿ÉÄܵĻúÀí£ºÔÚÖÊ×ÓÐÔÈܼÁ±£´æµÄÇéÐÎÏ£¬BocËáôû¿ÉÒÔÓë´¼ÐγÉÇâ¼ü£¬´Ó¶øÆðµ½Á˻ôÊ»ùµÄ×÷Óá£ÈçͼÁùËùʾ¡£

ͼÁù
ʹÓÃÒÒ´¼ÎªÈܼÁʱ£¬³ýÁËÎÞ¼îÉÏBoc£¬»¹¿ÉÒÔÓëZ-OSu»òÕßFmoc-OSu·´Ó¦£¬ÉÏÏìÓ¦µÄ±£»¤»ù¡£
Boc±£»¤»ùµÄÍѱ£»¤
Boc±£»¤»ùÊÇÒ»¸ö¶ÔËáÃô¸ÐµÄ»ùÍÅ£¬ÔÚÒºÏàëĵĺϳÉÖУ¬BocµÄÍѳýÒ»Ñùƽ³£¿ÉÓÃTFA»ò50%TFA£¨TFA:CH2Cl2 = 1:1,v/v£©¡£¶øÔÚ¹ÌÏàëĺϳÉÖУ¬ÓÉÓÚTFA»á´øÀ´Ò»Ð©¸±·´Ó¦£¨ÈçÔÚ»ñµÃµÄ°·ÉÏÉÏÒ»¸öÈý·úÒÒõ£»ùµÈ£©£¬Òò´Ë¶à½ÓÄÉ1-2M HCl/ÓлúÈܼÁ¡£Ò»Ñùƽ³£¶øÑÔÓÃHCl/¶þÑõÁù»·£¬½ÏÁ¿¶à¼û¡£Íѱ£»¤µÄ·´Ó¦Ê½ÈçͼÆßËùʾ¡£

ͼÆß
ËáÐÔÌõ¼þÏ£¬Íѱ£»¤µÄ»úÀíÈçͼ°ËËùʾ¡£ÖÊ×ÓËá»î»¯Êå¶¡ÑõôÊ»ù£¬ÊͷŶþÑõ»¯Ì¼£¬»ñµÃÏìÓ¦µÄ°·ÒÔ¼°Êå¶¡»ùÕýÀë×Ó¡£Êå¶¡»ùÕýÀë×ÓÖØÅÅ»ñµÃÒì¶¡Ï©¡£µ±ÏµÍ³Öк¬Óд¼»òôÈËáʱ£¬¿ÉÒÔ±»Êå¶¡»ùÕýÀë×Ó²¶»ñ£¬»ñµÃÏìÓ¦µÄ¸±²úÆ·¡£

ͼ°Ë
±¾ÎļòÆÓµÄÏÈÈÝÁËBoc-ËáôûµÄÐÔ×Ó£¬ÒÔ¼°ÓÃ×÷Boc±£»¤»ùÒýÈëÓëÍѳýʱµÄÒ»Ð©×¢ÖØÊÂÏî¡£
ÌÚ²©tengbo9885¹ÙÍøÖÂÁ¦ÓÚõ£°·¡¢¶àëĺϳÉÊÔ¼ÁµÄÑз¢ºÍÉú²ú£¬²úÆ·Æ·ÀàÆëÈ«¡¢²úÁ¿´ó£¬Äܹ»Öª×ãÊг¡µÄ¾ø´ó²¿·ÖÐèÇ󣬻¶Ó¿í´óÅóÙÀ´µç´¹Ñ¯¡£
²Î¿¼ÎÄÏ×:
[1] Chankeshwara, S. V.; Chakraborti, A. K. Org. Lett. 2006, 8, 3259-3262.
[2] Niu, X.; Joseph, A. Bioorg. Med. Chem. Lett, 2010, 20, 4812-4815.
[3] Li, J.; Smith, D.; Wong, H. S.; Campbell, J.A.; Meanwell, N.A.; Scola, P. M.
Synlett, 2006, 5, 725-728.
[4] WO2012/22792, 2012, A1.
[5] Tirayut, V. Terahedron Lett. 2006, 47, 6739-6742.
