新闻动态
多肽的生长:
自1901年Fischer小组完成首例二肽分子合成之后,多肽合成已历经100多年的历史。随着多肽在药物研发与质料化学领域中的需求日益增添,多肽合成战略的研究已经取得诸多奔腾性的希望。
多肽键合成中的外消旋化一直是一个主要难题,也是多肽化学研究的热门之一。肽键的形成需要将羧酸活化,活化后的羧酸中心体,以及后续的缩合历程都有可能导致外消旋化。
消旋机制:
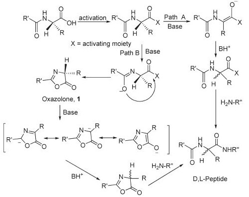
深入研究发明,这种外消旋化有两种机制。第一种机制是直接消旋化——从α碳直接攫取氢质子(Path A);第二种机制履历恶唑环的历程——恶唑环的α氢质子被攫取(Path B)。外消旋机制如下图所示:

图一:外消旋机制(A)直接消旋;(B)经恶唑环消旋
影响外消旋的因素:
影响肽键外消旋化的因素主要有以下三个:
(1)碱的因素;
(2)添加剂因素;
(3)缩合剂的因素。
一:碱的因素
Carpino等人在上世纪九十年月就发明有机碱的碱性和立**阻对外消旋有很大的影响,多肽缩合反应中使用最为普遍的有机碱是:N,N-二异丙基乙胺(DIEA),N-甲基吗啡啉(NMM)和2,4,6-三甲基吡啶(TMP,Collidine)。其中,N,N-二异丙基乙胺碱性较强(pKa 10.1),N-甲基吗啡啉(pKa 7.38)和2,4,6-三甲基吡啶(pKa 7.43)较弱,由于2,4,6-三甲基吡啶(TMP,Collidine)的立**阻更大,因此在许多肽键形成中,使用2,4,6-三甲基吡啶(TMP)爆发的消旋产品更少。另外,平时常用的三乙胺由于其位阻较小碱性较强,外消旋速率比N,N-二异丙基乙胺和N-甲基吗啡啉都要更快。
下图为氨基酸N-羧酸酐(NCA)衍生物的消旋速率:


氨基酸的N-羧酸酐衍生物与差别的有机碱消旋化之后再与苄胺缩合的效果如下图所示:


该效果显示2,4,6-三甲基吡啶(TMP,Collidine)爆发的消旋产品最少。
在另外一篇报道中,Carpino等人发明在多肽片断偶联时,也有类似的效果,2,4,6-三甲基吡啶(TMP,Collidine)爆发的消旋产品最少,在该反应中一个二肽Z-Phe-Val-OH与丙氨酸甲酯盐酸盐(H-Ala-OMe.HCl)的缩合,不管用哪个缩合剂,TMP的消旋总是最少的。
Z-Phe-Val-Ala-OMe肽片断合成(2+1)的消旋情形如下图所示:


二、添加剂的因素
在多肽合成中,加入添加剂是一种常见要领,可以提高收率,镌汰消旋的副反应——尤其在使用碳二亚胺类型的缩合剂,例如DIC时间,加入添加剂显得尤为主要。现在,常用添加剂主要是一些苯并三氮唑类化合物(HOXt),主要包括:HOBt、HOAt和6-Cl-HOBt。这类苯并三氮唑化合物具有较强的酸性(pKa HOBt: 4.60, pKa HOAt: 3.28, pKa 6-Cl-HOBt: 3.35),它们能够与羧酸形成活性中心体。我们知道与碳二亚胺类缩合剂也可以和羧酸形成的活性中心体——O-酰异脲化合物。可是和O-酰异脲化合物相比,苯并三氮唑与羧酸形成的活性中心体越发稳固,可以阻止O-酰异脲化合物重排成N-酰异脲化合物从而失去反应活性。在上述三个添加剂中,HOBt活性最差,消旋副反应通常是也最多的。HOAt活性最好,消旋的副反应也最少,HOAt吡啶环上7位氮原子爆发的邻位加入效应是其高活性要害因素。
近年来,一些含肟的新型添加剂被Albericio小组开发出来,乐成地应用于肽键的合成。最主要的两个添加剂是:2-肟氰乙酸乙酯(OxymaPure)和1,3-二甲基紫丁酸(Oxyma-B)。在与碳二亚胺类缩合剂DIC联用的时间,2-肟氰乙酸乙酯和1,3-二甲基紫丁酸的缩合产率与HOAt相当,可是消旋的副反应更少。在更有挑战性的肽片断[2+1]缩合反应中,2-肟氰乙酸乙酯和1,3-二甲基紫丁酸也体现出优于HOBt的抑制消旋化的效果。在进一步验证消旋化的实验中,Albericio等人使用固相合成制备几个三肽化合物。这几个三肽含有一些特殊容易爆发消旋化的氨基酸——丝氨酸(Ser),半胱氨酸(Cys)和组氨酸(His)。研究发明1,3-二甲基紫丁酸(Oxyma-B)关于抑制消旋的效果最好,甚至优于HOAt和2-肟氰乙酸乙酯(OxymaPure)。
Z-Phg-Pro-NH2的合成(固相合成)情形如下图所示:

二肽Z-Phe-Val-OH与H-Pro-NH2的缩合(溶液相合成)情形如下图所示:

三肽H-Gly-AA-Phe-NH2(AA = Ser、Cys、Cys(Acm)或His)固相合成如下图所示:

三、缩合剂的因素
缩合试剂结构多变、种类繁多,主要包括以下几类:碳二亚胺类、铵盐类、磷盐类、吡啶盐类、喹啉类、磷酸酯类等。HOXt、OxymaPure、Oxyma-B都可以与一些铵盐类或磷盐团结,成为自力的缩合剂。但以上缩合剂大部分都会爆发较洪流平的消旋,因此为抑制外消旋化的爆发,反应中需要加HOBt、HOAt以及Oxyma等消旋抑制剂,通过形成的活化酯,以阻止外消旋化。
最迩来自百时美施贵宝公司的Gregory L.Beutner团队报道了一类很是高效的酸胺缩合系统,酰基咪唑鎓盐恒久以来被以为是很是高效的酰基转移试剂,并被用于酰胺的合成,酰基咪唑鎓盐的活性也要高于酰基咪唑的活性。酰基咪唑鎓盐一样平常需要酰基咪唑与很强的烷基化试剂如Meerwein盐、碘甲烷等,Rapoport等人报道了CDI类似物氮甲基咪唑鎓盐用于挑战性酸胺缩合,然而将该类试剂从高活性的烷基化试剂中疏散出来自己就是一个较大的挑战。Gregory等人报道的亮点在于不需要疏散高活性的酰基咪唑鎓盐,而是使用有用战略将TCFH和NMI有用团结原位天生它,并将其用于挑战性酸胺缩合反应,取得了很是好的效果,并且产品能获得很好的手性坚持。反应机理如下所示:

该反应系统对多肽合成手性坚持可抵达99.9%,抑制消旋的效果和收率都很是优异,如下图所示:

2020年,来自日本的Wataru Muramatsu等人ACS catalysis报道了硅烷作为前言的酸胺缩合反应,也很好地解决了消旋的问题,该反应系统的反应条件十分温顺,反应如下图所示:

上图中的PG掩护基可以是乙酰基、苯甲酰基等基团,这类氨基酸其它的缩合剂一样平常很难将消旋情形控制的很好。
参考文献:
1.C.Sheehan, G. P. Hess, J. Am. Chem. Soc. 1955, 77, 1067. doi: 10.1021/ja01609a099.
2.L.Stevens, M. E. Munk, J. Am. Chem. Soc. 1958, 80, 4069. doi: 10.1021/ja01548a060.
3.El-Faham, F. Albericio, Chem. Rev. 2011, 111, 6557. doi: 10.1021/cr100048w.
4.Hu, S. Xu, Z. Zhao, Y. Yang, Z. Peng, Yang, M. Wang,J. Zhao, J. Am. Chem. Soc.2016, 138, 13135. doi: 10.1021/jacs.6b07230
5.Z. Wang, X. Wang, P.Wang, J. Zhao, J. Am. Chem. Soc. 2021, 143, 10374. doi: 10.1021/jacs.1c04614.
6. Org. Lett., 2018, DOI:10.1021/acs.orglett.8b01591.
7. ACS Catal.2020, 10, 9594?9603
