ÐÂÎŶ¯Ì¬
N,N'-¶þçúçêõ£Ñǰ·»ù̼Ëáõ¥£¨¼ò³ÆDSC£©£¬ÊÇÒ»ÖÖÓÃÓÚ»îÐÔõ¥ÖƱ¸µÄ¶à¹¦Ð§ÊÔ¼Á£¬Ò²ÊÇÖÖÖÖÇ׺˷´Ó¦ÖÐ¹âÆøµÄÌæ»»Æ·¡£DSC¶ÔË®·ÖÃô¸Ð£¬ÔÚË®ÇéÐÎÖУ¬»áѸËÙË®½â·Å³ö¶þÑõ»¯Ì¼²¢ÌìÉúNHS¡£ÔÚ·ÇË®ÇéÐÎÖУ¬DSCÔÚÖÖÖÖÓлúÈܼÁÖеÄÏûÈÚ¶ÈÊÇÓ°ÏìÆä·´Ó¦Ð§Âʼ°²ÐÁôÎïÈ¥³ýµÄÒªº¦ÒòËØÖ®Ò»£¬ÓÈÆäÊÇÔÚÖØ´óµÄ¶àÌǹ¦Ð§»¯ºÏ³ÉÖУ¬±í1·´Ó¦ÁËDSCÔÚ³£¼ûÓлúÈܼÁÖеÄÏûÈÚ¶ÈÇéÐΣ¬Îª·´Ó¦Ìõ¼þµÄÑ¡ÔñÌṩ²Î¿¼¡£
±í1 DSCÔÚÓлúÈܼÁÖеÄÏûÈÚ¶È

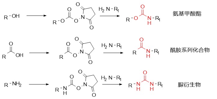
DSCÔÚ¶àëĺϳɣ¬Ò©ÎïÉè¼Æ£¬ºËËáÐÞÊεÈÁìÓò¾ßÓÐÆÕ±éµÄÓ¦Óá£ÆäÎÂ˳µÄ·´Ó¦Ìõ¼þ£¬¸ßЧÂʵÄżÁªÌØÕ÷£¬Ê¹ÆäÔںϳÉëåÑÜÉúÎïºÍ°±»ù¼×Ëáõ¥À໯ºÏÎïÖÐÊÎÑÝ×ÅÖ÷Òª½ÇÉ«£¬Í¬Ê±£¬DSCÒ²Êdz£ÓõÄõ£°·¡¢Áò´úÁ×Ö¬µÄżÁªÊÔ¼Á¡£Í¨¹ýÔö½øÌ¼Ëáõ¥¡¢ôÈËá»îÐÔõ¥ºÍ¶ÔÓ¦µÄ°±»ù¼×Ëáçúçêõ£Ñǰ·õ¥µÄÐγɣ¬½øÒ»²½Óë°··Ö×Ó·´Ó¦£¬¸ßЧºÏ³É³ö¶ÔÓ¦µÄ°±»ù¼×Ëáõ¥¡¢õ£°·ºÍëåÑÜÉúÎÈçͼ1Ëùʾ£©¡£

ͼ1 DSC½éµ¼µÄºÏ³É;¾¶
°±»ù¼×Ëáõ¥À໯ºÏÎÒòÆäÆÕ±éµÄÓ¦ÓùæÄ£ºÍÔÚÒ½Ò©¡¢Å©Ò©¡¢Í¿Áϼ°ÓлúºÏ³ÉÖеÄÖ÷ÒªÐÔ¶ø±¸ÊܹØ×¢¡£DSC£¬×÷ΪһÖÖ¸ßЧµÄ»î»¯¼Á£¬²»µ«¿ÉÒÔÔö½ø´¼ÓëÊÜ×è°±»ùËáºÏ³É°±»ù¼×Ëáõ¥À໯ºÏÎ»¹ÔÚ°±»ù¼×Ëáõ¥ÀàϵÁÐÒ©ÎïÈçHIVÖÎÁÆÒ©Îï´ï«ÄÇΤµÄÒªº¦ºÏ³É°ì·¨ÖÐÊÎÑݽ¹µã½ÇÉ«£¬ÒÔ¼°ÔÚÉúÎﻯѧÖÐʵÏÖÖØ´ó·Ö×ÓÆ¬¶ÏµÄÆ´½Ó¡£
Ïêϸ¶øÑÔ£¬¿¹±û¸ÎÒ©Îï·¥ÄáÈðΤҪº¦ÖÐÐÄÌåµÄºÏ³ÉÖУ¬DSCͨ¹ý»î»¯´¼£¬ËæºóÓë¿Õ¼äλ×è½Ï´óµÄL-ÊåÁÁ°±Ëá·´Ó¦£¬¸ßЧºÏ³ÉÄ¿µÄ°±»ù¼×Ëáõ¥»¯ºÏÎï¡£

¶øÔÚÖÎÁÆHIVÒ©Îï´ï«ÄÇΤ·Ö×ӵĺϳÉÖУ¬DSCͨ¹ýÓëôÇ»ùÐγɻõ¥£¬ÊµÏÖÁËÁ½¸öÒªº¦Æ¬¶ÏµÄÆ´½Ó¡£

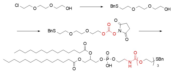
±ðµÄ£¬ÔÚÁò´úÁ×Ö¬µÄºÏ³ÉÖУ¬DSCÒ²Õ¹ÏÖÁËÆäÓÅÒìµÄżÁªÐÔÄÜ£¬Í¨¹ýÓëôÇ»ù¾ÙÐл£¬ÔÙÓëDMPEµÄ°±»ùÆ´½Ó£¬ÊµÏÖÒÔ°±»ù¼×Ëáõ¥¼üÅþÁ¬µÄÁò´úÁ×Ö¬¡£

ë幦ЧƬ¶Ï£¬×÷ΪÐí¶àÒ©Îï·Ö×ÓÖеÄÒªº¦½á¹¹£¬¶Ô·Ö×Ó»îÐÔºÍÀí»¯ÐÔ×ӵĵ÷¿Ø¾ßÓÐÖ÷Òª×÷Óá£ÔÚ·ÅÉäÐÔ³ÉÏñ¼ÁPiflufolastat F-18µÄºÏ³ÉÖУ¬DSCͨ¹ýÓë°±»ù·´Ó¦ÌìÉúçúçêõ£Ñǰ·õ¥ÖÐÐÄÌ壬½øÒ»²½¹¹½¨ëå½á¹¹Æ¬¶Ï£¬Õ¹Ê¾ÁËÆäÔÚÒ©ÎïºÏ³ÉÖеÄÎÞаÐÔÓë¸ßЧÐÔ¡£

õ£°·»¯ºÏÎïÊǶàëĺϳÉÁìÓòÖÐ×î»ù´¡µÄ½á¹¹Æ¬¶Ï£¬Ò²ÊÇÒ©ÎïºÏ³ÉÁìÓòµÄÒªº¦½á¹¹¡£DSC×÷ΪһÖֻºÍ±£»¤ÊÔ¼Á£¬Õ¹ÏÖÁËÆäÔÚ»¯Ñ§ºÏ³ÉÖеĶ๦ЧÐÔ£¬²»µ«Äܹ»ÐγÉ̼Ëáõ¥£¬çúçêõ£Ñǰ·õ¥£¬»¹ÄÜÓëôÈ»ùÐγɻîÐÔõ¥£¬½øÒ»²½Óë°·»ùÐγÉÎȹ̵Äõ£°·»¯ºÏÎï¡£

×ÛÉÏËùÊö£¬DSCÔÚ»¯Ñ§¡¢Ò½Ò©ºÍÉúÎïÁìÓòµÄÆÕ±éÓ¦Óã¬ÕÃÏÔÁËÆäÔÚÓлúºÏ³ÉÖеÄÖ÷Ҫְλ¡£ÎÞÂÛÊÇÔö½øÖØ´ó·Ö×ӵĺϳɣ¬ÕÕ¾ÉÔÚ»ù´¡»¯Ñ§·´Ó¦ÖеÄÓ¦Óã¬DSC¶¼Õ¹ÏÖÁËÆäÓÅÒìµÄ·´Ó¦ÐÔÄÜ£¬ÊÇÑз¢Ö°Ô±ÊÖÖв»¿É»òȱµÄ¹¤¾ß¡£
