ÐÂÎŶ¯Ì¬
ÏûÐý»¯ÊÇÖ¸ÊÖÐÔ·Ö×ÓÔÚ»¯Ñ§·´Ó¦Öб¬·¢Á¢ÌåÒì¹¹Ìåת±äµÄÀú³Ì£¬ÕâÒ»Õ÷ÏóÔÚ¶àëĺϳÉÖÐÓÈΪÖ÷Òª¡£°±»ùËáÏûÐý»¯ÊǶàëĺϳÉÀú³ÌÖеÄÖ÷Òª¸±·´Ó¦£¬ÆäÒì¹¹»¯²úÆ·¾ßÓи߶ÈÏàËÆµÄÎïÀíÌØÕ÷£¬´Ó¶øÔöÌíÊèÉ¢´¿»¯ÄѶȣ¬Õâ²»µ«Ó°Ïì·Ö×ÓµÄÕûÌå¹¹ÐÍ£¬×îÖÕÓ°ÏìÉõÖÁ¸Ä±ä¶àëĵÄÉúÎï»îÐԺ͹¦Ð§¡£Òò´Ë£¬ÔÚ¶àëĺϳÉÀú³ÌÖмá³Ö°±»ùËáµÄÊÖÐÔÖÁ¹ØÖ÷Òª¡£
1. ¼î´ß»¯µÄÏ©´¼»¯·´Ó¦£º
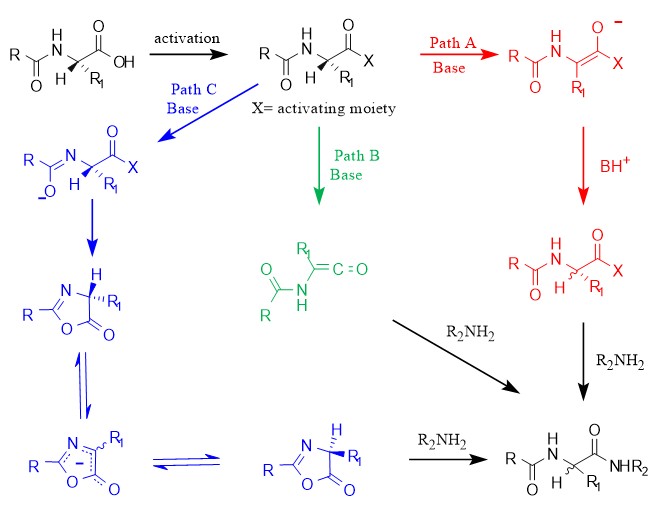
ôÈËá»î»¯ÐγɵĻîÐÔÖÐÐÄÌåÔÚÇ¿¼îÐÔÇéÐÎÏ»òÕߦÁλÅþÁ¬Ç¿Îüµç×Ó»ùÍÅʱ£¬¦Á-HÒ×±»ÕùÈ¡ÖØÅÅÐγÉÏ©´¼ÖÐÐÄÌå¡£¶øÔÚÖØÐÂÖÊ×Ó»¯µÄÀú³ÌÖÐÊÇÎÞÑ¡ÔñÐԵģ¬Òò´Ë×îÖÕ»áÐγÉÍâÏûÐý°±»ùËáõ¥£¬ÕâÖÖÏûÐý;¾¶ÔÚ̼¶þÑǰ·ÀàËõºÏÊÔ¼Á½éµ¼µÄËõºÏ·´Ó¦ÖпÉÄÜ»áÐγɣ¨Í¼1£¬Path A£©¡£
2. ϩͪ¹ý¶É̬£º
»î»¯ôÈËáÔÚ¼îÐÔÇéÐÎϱ¬·¢Ïû³ý·´Ó¦£¬»îÐÔ»ùÍÅÀëÈ¥ÐγÉϩͪ¹ý¶É̬£¬°·½ø¹¥Ï©ÍªÖÐÐÄÌå²»¾ß±¸Á¢ÌåÑ¡ÔñÐÔ£¬Òò´Ë»ñµÃÏûÐý»¯µÄ¶àëIJúÆ·£¬´Ë;¾¶¿ÉÄ᷺ܻÆðÔÚõ£Âȱ£´æµÄËõºÏ·´Ó¦ÖУ¨Í¼1£¬ Path B£©¡£
3. ‡fßòͪ¹ý¶É̬£º
Ïà½ÏÉÏÊöÁ½ÖÖÏûÐý»úÖÆ£¬µÚÈýÖÖÏûÐý»¯±¬·¢ÆøÖÆÔòÔ½·¢³£¼û£¬³£±¬·¢ÓÚN-õ£»ù±£»¤µÄ¦Á-°±»ùËá¼ÓÈëµÄËõºÏ·´Ó¦ÖС£ôÈËΆºó£¬ÔÚ¼îÐÔÇéÐÎÏ£¬õ£°·¼üÖÐN-H±»È¥ÖÊ×Ó»¯£¬Ê¹µÃ»î»¯ÖÐÐÄÌ屬·¢·Ö×ÓÄÚ»·»¯ÐγɇfßòͪÖÐÐÄÌ壬¾Óɹ²éîÒõÀë×ӵĹý¶É̬µ¼Ö·Ö×Ó±¬·¢ÏûÐý£¬´Ó¶ø°·ÓëÆä±¬·¢·´Ó¦Ê±£¬»ñµÃÏûÐý»¯µÄ¶àëIJúÆ·£¨Í¼1, Path C£©¡£

ͼ1 ÈýÖÖÏûÐý»¯Í¾¾¶
»ùÓÚÉÏÊöÏûÐý»úÖÆÆÊÎö£¬¦Á-HºÍõ£°·¼üµÄN-HÊÇÒý·¢ÏûÐý»¯µÄÒªº¦½á¹¹ÒªËØ£¬Í¨Ì«¹ý×ÓÉè¼Æµ÷¿ØÕâЩ»îÐÔλµãµÄ·´Ó¦ÐÔ£¬Ôò»áºÜ´óÏ޶ȵĽµµÍÏûÐý»¯ÎÊÌâ¡£
ÔÚ¶àëĺϳÉÖУ¬ÏûÐý»¯Ë®Æ½ÊܶàÖØÒòËØµ÷¿Ø£¬Ö÷Òª°üÀ¨ËõºÏÊÔ¼ÁÀàÐÍ¡¢°±»ùËá½á¹¹ÌØÕ÷¡¢¼î¡¢·´Ó¦ÈܼÁºÍζȵÈÏà¹Ø²ÎÊý¡£
1. ËõºÏÊÔ¼Á£º
²î±ðµÄËõºÏÊÔ¼ÁÐγɵĻîÐÔÖÐÐÄÌå·´Ó¦»îÐÔ²»¾¡Ïàͬ£¬ÕâÒ²µ¼ÖÂÁËÆä±¬·¢ÏûÐý»¯µÄ¿ÉÄÜÐÔ±£´æ²î±ð£¬Èç̼¶þÑǰ·ÀàËõºÏÊÔ¼Á£¨DCC¡¢DICµÈ£©Ïà½ÏÓÚëåÕýÀë×ÓÐÍ£¨HATU¡¢HBTUµÈ£©¸üÈÝÒ×±¬·¢ÏûÐý»¯¡£
2. °±»ùËá½á¹¹ÌØÕ÷£º
²î±ð°±»ùËá¾ßÓвî±ðµÄ»¯Ñ§ÐÔ×ӺͿռ乹ÐÍ£¬Ä³Ð©°±»ùËáÔÚÌØ¶¨µÄÌõ¼þϸüÇãÏòÓÚ±¬·¢ÏûÐý»¯¡£³ýÁË´ÓÉÏÊö·´Ó¦»úÖÆÖлñÈ¡µÄ¦Á-HºÍõ£°·µÄÉú¶¯Çâ»á¶ÔÏûÐý»¯±¬·¢Ó°ÏìÍ⣬ÖîÈçµ×ÎïµÄ¿Õ¼äλ×èЧӦ£º£¨1£©¦Á-CÅþÁ¬µÄR»ùÍÅλ×èÔ½´ó£¬Ô½ÈÝÒ×±¬·¢ÏûÐý»¯;£¨2£©±û°±ËáºÍçÓ°±ËáÔÚͬÑùÇéÐÎϱ¬·¢ËõºÏ·´Ó¦Ê±£¬çÓ°±Ëá¸üÈÝÒ×±¬·¢ÏûÐý»¯£¬Ô¼Îª±û°±ËáµÄÁ½±¶¡£
3. ¼îµÄÓ°Ï죺
ËõºÏ·´Ó¦Öб¬·¢ÏûÐý»¯µÄˮƽÓë¼îϢϢÏà¹Ø£¬Ðí¶àËõºÏ¼Á½éµ¼µÄËõºÏ·´Ó¦Í¨³£ÐèÒª¼îµÄ¼ÓÈë¡£Ñо¿Åú×¢£¬¼îµÄ¿Õ¼äλ×èÒÔ¼°¼îµÄÓÃÁ¿¾ù»áÓ°ÏìÏûÐý»¯Ë®Æ½£ºÔÚÒ»Âɵ±Á¿Ï£¬DIPEA×ö¼îʱ±ÈTEA±¬·¢µÄÏûÐý»¯Ë®Æ½¸üС£»Í¬ÎªDIPEAʱ£¬ËùÓõ±Á¿Ô½¸ß±¬·¢ÏûÐý»¯µÄ±ÈÀýÔ½´ó£¨ÔÚÄÜÔö½ø·´Ó¦µÄÌõ¼þÏÂËù¾ÙÐеIJâÊÔ£©¡£
4.·´Ó¦ÇéÐβÎÊý£º
ÈܼÁ£º·´Ó¦ÖеÄÏûÐý»¯Àú³Ìͨ³£Àú¾µÄÖÐÐÄÌåÊÇ´øµçºÉµÄ£¬·´Ó¦ÈܼÁµÄÈܼÁ»¯Ð§Ó¦¿ÉÄÜ»áÆðµ½ÎȹÌÒì¹¹»¯ÖÐÐÄÌåµÄ×÷Óá£
ζȣº¸ßÎÂÏ»á¶ÔÏûÐý»¯±¬·¢Ò»¶¨µÄÓ°Ïì¡£
1. ËõºÏÊÔ¼ÁÓÅ»¯£º
ǰÎÄÌáµ½ÁËËõºÏÊÔ¼Á¶ÔÏûÐý»¯µÄÓ°ÏìºÜ´ó£¬Ñ¡ÓúÏÊʵÄËõºÏÊÔ¼Á»òÌí¼Ó¼Á¶Ô½µµÍÏûÐý»¯Ë®Æ½¾ßÓкܴóµÄ×ÊÖú¡£Õë¶Ô¹Å°å̼¶þÑǰ·ÊÔ¼ÁÒ×Òý·¢ÏûÐý»¯µÄÎÊÌ⣬¿Éͨ¹ýÒýÈëHOBt¡¢HOAt»òOxymaµÈÏûÐýÒÖÖÆÊÔ¼Á£¬ÓÐÓýµµÍÏûÐý»¯ÎÊÌâ¡£³ý´ËÖ®Í⣬½ÓÄÉÐÂÐ͵ÄËõºÏÊÔ¼ÁÈçÕÔÊÔ¼ÁYnamide£¨MYMsA¡¢MYTsA£©£¬OxymaϵÁÐËõºÏÊÔ¼Á£¨COMUµÈ£©£¨Í¼2£©¿ÉÒÔ½µµÍÉõÖÁ×èÖ¹ÏûÐý»¯µÄ±¬·¢¡£

ͼ2 ÐÂÐÍËõºÏÊÔ¼Á
2.±£»¤»ùÍÅ£º
°±»ù¼×Ëáõ¥Àà±£»¤»ù¿ÉÒÔ½µµÍ‡fßòͪµÄÐγÉΣº¦£¬ÁíÍ⣬ÓÐЩ°±»ùËáµÄ²àÁ´»áÓ°Ï쵽ĿµÄ·´Ó¦µÄ¾ÙÐУ¬Èç×é°±Ëá²àÁ´µÄßäßò»·Ò×ÓÕµ¼×é°±ËáµÄÏûÐý»¯£¬Ñ¡ÓúÏÊʵı£»¤»ùÈçPMBOM¡¢NAPOMÄÜÓÐÓÃ×èÖ¹ÏûÐý»¯µÄ±¬·¢£¨Í¼3£©¡£

ͼ3 ×é°±Ëá²àÁ´±£»¤»ù
3.·´Ó¦Ìõ¼þ£º
¼î£ºÑ¡Óôóλ×裬¼îÐÔ½ÏÈõµÄ¼î¿ÉÒÔÓÐÓýµµÍÏûÐý»¯Ë®Æ½¡£
·´Ó¦ÈܼÁ£ºÐ¡¼«ÐÔ·ÇÖÊ×ÓÈܼÁ¿ÉÒÔ½µµÍÏûÐý»¯ÎÊÌâ¡£
·´Ó¦Î¶ȣº½ÏµÍµÄζÈͨ³£ÓÐÖúÓÚ¼á³Ö°±»ùËáµÄÁ¢ÌåÑ¡ÔñÐÔ¡£
4. ÆäËûºÏ³ÉÊÖÒÕ£º
»úеºÏ³ÉÒªÁ죺½ÓÄÉÇòÄ¥¸¨ÖúÔÚÎÞÈܼÁ»òÕߺÜÉÙÈܼÁµÄÌõ¼þϾÙÐз´Ó¦£¬´Ó¶ø½µµÍÈܼÁ»¯Ð§Ó¦£¬ÊµÏֺܸߵķ´Ó¦ÊÕÂʺͼ«Ð¡µÄÏûÐý»¯ÎÊÌâ¡£
×Ô¶¯»¯¿ìËÙÁ÷¶¯¶àëĺϳÉÊÖÒÕ£¨AFPS£©£ºÏà½ÏÓڹŰåµÄ¹ÌÏàºÏ³ÉÒªÁ죬·´Ó¦ËÙÂʸü¿ì¡£Á÷ËÙÔöÌí¼°·´Ó¦Ê±¼äµÄËõ¶Ì¿ÉÒÔÓÐÓýµµÍÏûÐý»¯²úÆ·
΢²¨¸¨ÖúºÏ³ÉÕ½ÂÔ£º¿ÉÒÔ¼ÓËÙ·´Ó¦ËÙÂÊ£¬Ìá¸ß·´Ó¦ÊÕÂÊ£¬½µµÍÏûÐý»¯Ë®Æ½¡£
²Î¿¼ÎÄÏ×£º
[1] Duengo, S.; Muhajir, M. I.; Maharani, R.; et al. Epimerisation in Peptide Synthesis[J]. Molecules, 2023, 28, 8017.
[2] Guo, Y. Y.; Wang, M. Y.; Gao, Y.; Liu, G. D. Recent advances in asymmetric synthesis of chiral amides and peptides: racemization-free coupling reagents[J]. Org. Biomol. Chem., 2024, 22, 4420-4435.
[3] Magano, Javier. Large-Scale Amidations in Process Chemistry: Practical Considerations for Reagent Selection and Reaction Execution[J]. Org. Process Res. Dev. 2022, 26, 1562-1689.
[4] El-Faham, A.; Albericio, F. Peptide Coupling Reagents, More than a Letter Soup[J]. Chem. Rev., 2011, 111, 6557-6602.
[5] Montalbetti, C. A. G. N.; Falque, V. Amide bond formation and peptide coupling[J]. Tetrahedron, 2005, 61, 10827-10852.
[6] Carpino, L. A.; Ionescu, D.; El-Faham, A. Peptide Coupling in the Presence of Highly Hindered Tertiary Amines[J]. J. Org. Chem., 1996, 61, 2460-2465.
