ÐÂÎŶ¯Ì¬
Ò»ÖÖ¿É¿¿µÄÁ×ËữÊÔ¼Á¡ª¡ª¶þÜлùN,N'-¶þÒì±û»ùÑÇÁ×õ£°·
ÂѰ×ÖʵÄÁ×Ëữ·´Ó¦ÔÚÉú»¯Àú³ÌÖÐÊÎÑÝÁ˺ÜÊÇÖ÷ÒªµÄ½ÇÉ«¡£ÆäÖÐÒýÈëÁ×Ëá»ùÍŵÄø³ÆÎª¼¤Ã¸£¬¶ø³ýÈ¥Á×Ëá»ùÍŵÄø³ÆÎªÁ×Ëáø¡£ ÂѰ×ÖÊÁ×Ëữ¿É±¬·¢ÔÚÐí¶àÖÖÀàµÄ°±»ùËᣨÂѰ×ÖʵÄÖ÷Òªµ¥Î»£©ÉÏ£¬ÆäÖÐÒÔË¿°±Ëá¡¢ËÕ°±Ëá¡¢ÀÒ°±ËáΪÖ÷¡£ÁíÍ⣬º¬ÓÐÁ×ËáµÄ¹ÙÄÜÍÅÔÚһЩС·Ö×ÓÒ©ÎÓÈÆäÊǺËÜÕËáÒ©ÎïÖÐÊǷǾ³£¼ûµÄ¹ÙÄÜÍÅ£¬ÀýÈç2013ÄêÉÏÊеĿ¹±û¸ÎÃ÷ÐÇÒ©ÎïË÷·Ç²¼Î¤£¬ÒÔ¼°¸üΪÔçÆÚµÄºËÜÕÒ©ÎïÌæÅµ¸£Î¤¡¢°¢µÂ¸£Î¤µÈ¡£±ðµÄ£¬Ëæ×Å»ùÒòÀàÒ©ÎïµÄÐËÆð£¬Ò»Ð©¹ÑºËÜÕËáÀàÒ©ÎïÒ²Â½Ðø±»FDAÅú×¼ÉÏÊУ¬°üÀ¨£º·´Òå¹ÑºËÜÕËáÀàÒ©ÎASOs£©¡¢ºËËáÊÊÅäÌåÒ©Îapatmers£©¡¢Ð¡·Ö×Ó×ÌÈÅRNAÒ©ÎsiRNAs£©µÈ¡£Ç°¶Îʱ¼ä£¬70ÍòÔªÒ»ÕëµÄ¡°Ìì¼Û¡±ÓÐÊý²¡Ò©Î¡ªÅµÎ÷ÄÇÉúÄÆ±»¹ú¼ÒÒ½±£Ì¸Åдú±í¡°Áé»ê¿³¼Û¡±ºóÖ±½Ó½µ¼Ûµ½µÍÓÚ3.3ÍòԪÿÕëµÄ¼ÛÇ®¡£¸ÃÐÂÎÅÒ»¾²¥³öÁ¬Ã¦Ë¢ÆÁÍøÂ磬¸÷È˶¼ÔÚΪ¹ú¼ÒÒ½±£Ì¸Åдú±íºÈ²Ê¡¢Ò²Îª»¼Õß¾ìÊô¸ÐÓ¦ÐÀο¡£È»¶øÏÊΪÈËÖªµÄÊÇ£¬Õâ¸öÏÖÔÚÈ«ÇòΨһÖÎÁƼ¹ËèÐÔ¼¡Î®ËõÖ¢£¨SMA£©µÄÒ©ÎïÒ²ÊÇÒ»ÖÖ·´Òå¹ÑºËÜÕËᣨASO£©Ò©Îͼ1£©¡£Óɴ˿ɼû£¬Á×Ëá¹ÙÄÜÍŸ¶ÓëһЩҩÎïºÜÊÇÖ÷ÒªºÍÒªº¦µÄÒ©Àí»îÐÔ¡£

ͼ1 Ë÷·Ç²¼Î¤£¨×ó£©ÓëŵÎ÷ÄÇÉúÄÆ£¨ÓÒ£©
ÔÚÒ©ÎïºÏ³ÉÖÐÒýÈëÁ×Ëá¹ÙÄÜÍŵÄÒªÁìÐí¶à£¬³£¼ûµÄÁ×ËữÊÔ¼Á°üÀ¨£ºÈýÂÈÑõÁס¢½¹Á×õ£ÂÈ¡¢ÂÈÁ×Ëá¶þ¼×õ¥¡¢ÂÈÁ×Ëá¶þ±½õ¥µÈ£¨Í¼2£©¡£ÕâЩÁ×ËữÊÔ¼Á¸÷ÓÐÓÅÈõµã¡£ÈýÂÈÑõÁ׺ͽ¹Á×õ£ÂÈÓë´¼ÔÚ¼îÐÔÌõ¼þÏ·´Ó¦ºó£¬¾ÓÉË®½â¿ÉÒÔ»ñµÃÁ×Ëá»ùÍÅ¡£ÕâÁ½ÖÖÊÔ¼ÁµÄÓŵãÊǼÛÇ®µÍÁ®¡¢²Ù×÷ÇáÓ¯£¬¿ÉÊÇÈõµãÊDzúÆ·ÍùÍù´øÓÐÉÙÁ¿¼«ÐÔÀàËÆÔÓÖÊ£¬µ¼Ö²úÆ·´¿»¯±¬·¢ÄÑÌâ¡£´¼Ò²¿ÉÒÔÏÈÓëÂÈÁ×Ëá¶þ¼×õ¥»òÕß¶þ±½õ¥·´Ó¦£¬ÌìÉúÁ×Ëáõ¥ÖÐÐÄÌåºóÔÙÍѳö±£»¤»ù»ñµÃÁ×Ëá¹ÙÄÜÍÅ¡£ÕâÁ½ÖÖÁ×ËữÊÔ¼ÁÌìÉúµÄÁ×Ëáõ¥ÖÐÐÄÌå¶¼¿ÉÒÔÊèÉ¢´¿»¯¡£Á×Ëá¶þ¼×õ¥ÖÐÐÄÌåÒ»Ñùƽ³£ÐèÒªÓõ½Èý¼×»ùäå¹èÍéÍѳö¼×õ¥£¬¹ØÓÚһЩËáÃô¸ÐµÄµ×ÎïÕâ¸öÒªÁì²¢²»¶ÔÊÊ£»¶øÁ×Ëá¶þ±½õ¥ÖÐÐÄÌåÐèÒª»¯Ñ§¼ÆÁ¿µÄ¶þÑõ»¯²¬×÷Ϊ´ß»¯¼Á²Å»ªÍѳö±½»ù¡ª¡ª´ß»¯Á¿µÄ¶þÑõ»¯²¬»òÕßîÙ̼ÊÇÎÞ·¨Íѳö±½»ùµÄ£¬Òò¶ø´ÓÉú²ú±¾Ç®µÄ½Ç¶È¿´£¬ÕâÖֺϳÉÒªÁìÌ«¹ýÓÚÌÚ¹ó¡£

ͼ2 ³£¼ûÁ×ËữÊÔ¼Á
±¾ÎÄÏÈÈÝÒ»ÖÖ¿É¿¿µÄÁ×ËữÊÔ¼Á¡ª¡ª¶þÜлùN,N'-¶þÒì±û»ùÑÇÁ×õ£°·£¬Ò»ÖÖÎÞÉ«»òÕßµ»ÆÉ«ÓÍ×´ÎïÖÊ¡£¶þÜлùN,N'-¶þÒì±û»ùÑÇÁ×õ£°·¶ÔËáºÜÊÇÃô¸Ð¡£ÓÉÓڸû¯ºÏÎï·Ðµã½Ï¸ß£¨130¡ãC/0.55mmHg£©£¬Í¨¹ý¼õѹÕôÁóµÄÒªÁì¾ÙÐд¿»¯Ï൱ÄÑÌ⣬Òò¶øÊÐÃæÉÏÏúÊ۵ĶþÜлùN,N'-¶þÒì±û»ùÑÇÁ×õ£°·µÄ´¿¶Èͨ³£²»´óÓÚ98%¡£

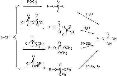
ͼ3 ¶þÜлùN,N'-¶þÒì±û»ùÑÇÁ×õ£°·¼°ÆäÓ¦ÓÃ
ÓöþÜлùN,N'-¶þÒì±û»ùÑÇÁ×õ£°·ÒýÈëÁ×Ëá»ùÍŵÄͨ³£ÒªÁì·ÖÈý¸ö°ì·¨£º£¨1£©¶þÜлùN,N'-¶þÒì±û»ùÑÇÁ×õ£°·Óë´¼ÔÚËĵªßò»ò4,5-¶þÇè»ùßäßòµÈÈõËáµÄ´ß»¯ÏÂÌìÉúÈý¼ÛµÄÑÇÁ×ËáÖÐÐÄÌ壻£¨2£©ÑÇÁ×ËáÖÐÐÄÌåÑõ»¯³ÉÎå¼ÛµÄÁ×Ëá¶þÜÐõ¥ÖÐÐÄÌ壬¸ÃÖÐÐÄÌå¿ÉÒÔÊèÉ¢´¿»¯£»£¨3£©Í¨¹ýîÙ̼´ß»¯Ç⻯ÍѳöÁ½¸öÜлù»ñµÃÁ×Ëá¹ÙÄÜÍÅ¡£Ïà¹ØÓÚÇ°ÃæÌáµ½µÄÁ×ËữÊÔ¼Á£¬¶þÜлùN,N'-¶þÒì±û»ùÑÇÁ×õ£°·¾ßÓз´Ó¦Ìõ¼þÎÂ˳¡¢²Ù×÷ÇáÓ¯¡¢ÖÐÐÄÌåÒ×ÓÚ´¿»¯¡¢Éú²ú±¾Ç®½ÏµÍµÈÓÅÊÆ¡£
¾ÓÉ´ó×ڵŤÒÕˢУ¬±¾¹«Ë¾ÏÖÔÚÄܹ»ÒÔ¹«½ï¼¶µÄ¹æÄ£Éú²úÆøÏà´¿¶ÈºÍºË´Å´¿¶È¶¼ÔÚ98%ÒÔÉϵĶþÜлùN,N'-¶þÒì±û»ùÑÇÁ×õ£°·£¡Í¬Ê±£¬±¾¹«Ë¾Ò²Éú²úºÍÏúÊÛ¸ßÖÊÁ¿µÄËĵªßò¡¢4,5-¶þÇè»ùßäßòµÈÏà¹Ø²úÆ·£¬»¶ÓÓÐÐèÇóµÄÅóÙÀ´µç´ßѯ£¡
