ÐÂÎŶ¯Ì¬
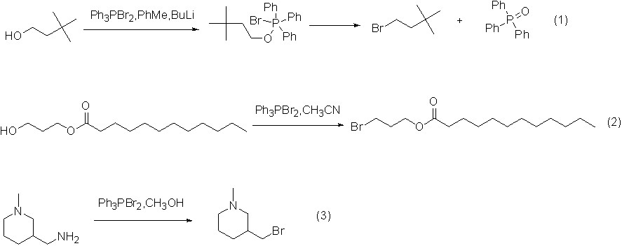
1¶þäåÈý±½»ù좵ÄÓ¦ÓÃ
¶þäåÈý±½»ùì¢ÔÚÓлúºÏ³ÉÖг£×÷Ϊä廯¼ÁʹÓã¬Æä½á¹¹Ê½ÈçÏÂͼ£º

¶þäåÈý±½»ù좵ÚÒ»´ÎÓÃÓںϳɷ´Ó¦ÊÇÔÚ1959Ä꣬ÓÉ´¼ºÍôÈËáÖÆ±¸äå´úÎïºÍõ£ä壬ҲÓÃÓÚõ£°·ºÍë¿Ïòëæ×ª»¯µÄÍÑË®·´Ó¦ÖС£ÏÖÔÚËüÒѾ×÷ΪһÖÖͨÓõÄÊÔ¼ÁÓÃÓÚÐí¶à·´Ó¦ÖС£
Ó¦ÓÃÒ»£º´¼ºÏ³Éäå´úÎï
¶þäåÈý±½»ùì¢Óë´¼·´Ó¦Ê×ÏÈÌìÉúÍéÑõÈý±½»ùì¢äå´úÎïÖÐÐÄÌ壬¸Ã°ì·¨·´Ó¦ºÜ¿ì£¬È»ºóÖÐÐÄÌ建ÂýÆÊÎöΪÈý±½Ñõ좺ÍÏìÓ¦µÄäå´úÎï¡£¸±²úÆ·Èý±½Ñõ좿Éͨ¹ýÕôÁó»ò´ò½¬È¥³ý£¬ÊÕÂÊÏà¶Ô½Ï¸ß¡£
·´Ó¦ÊµÀýÈçÏÂͼËùʾ£º

Ó¦Óöþ£ºäå´ú·´Ó¦
¶þäåÈý±½»ùì¢Ò²ÊǽÏÁ¿ºÃµÄäå´úÊÔ¼Á£¬ÔÚÐí¶à·´Ó¦ÖпÉÒÔÌæ»»äåËØ£¬ÔöÇ¿·´Ó¦¿É²Ù×÷ÐÔ¡£
·´Ó¦ÊµÀýÈçÏÂͼËùʾ£º

Ó¦ÓÃÈý£º·¼»ùäåµÄºÏ³É
¶þäåÈý±½»ùì¢Óë±½·Ó·´Ó¦¿ÉÒÔÖÆ±¸äå´ú·¼ÏãÌþ»¯ºÏÎµ«¸Ã·´Ó¦ÊÕÂÊÆ«µÍ¡£
·´Ó¦ÊµÀýÈçÏÂͼËùʾ£º

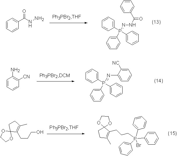
Ó¦ÓÃËÄ£º»·Ñõ»¯Î↑»·ÌìÉúÁÚ¶þäå´úÎïµÄ·´Ó¦
»·Ñõ»¯ÎïºÍ¶þäåÈý±½»ùì¢ÔÚ¼×±½Öб¬·¢¿ª»··´Ó¦ÌìÉúÁÚ¶þäå´úÎï¡£
·´Ó¦ÊµÀýÈçÏÂͼËùʾ£º

Ó¦ÓÃÎ壺Óëͪ·´Ó¦ÖƱ¸äå´úÏ©Ìþ
¶þäåÈý±½»ùì¢ÓëͪÀ໯ºÏÎï·´Ó¦ÖÆ±¸äå´ú²»±¥ºÍ»¯ºÏÎÓнϸߵIJúÂÊ¡£
·´Ó¦ÊµÀýÈçÏÂͼËùʾ£º

¸Ã·´Ó¦Á½²½×ÜÊÕÂÊ¿ÉÒÔµÖ´ï54%¡£
Ó¦ÓÃÁù£ºÓëôÈËá¡¢Ëáôû·´Ó¦ÌìÉúõ£äå
¶þäåÈý±½»ùì¢ÓëôÈËá»òËáôû·´Ó¦£¬¿ÉÒÔÖÆµÃõ£ä壬´ËÀà·´Ó¦ÊÕÂʽϸߡ£
·´Ó¦ÊµÀýÈçÏÂͼËùʾ£º

¸Ã·´Ó¦ÊÕÂʿɴï89%¡£
Ó¦ÓÃÆß£ºõ£°·ºÍë¿Ïòëæ×ª»¯µÄÍÑË®·´Ó¦
¶þäåÈý±½»ùì¢Ò²¿ÉÓÃ×÷ÍÑË®¼Á£¬Ê¹õ£°·ºÍë¿ÍÑË®ÌìÉúëæ£¬·´Ó¦Ð§¹ûºÜºÃ¡£
·´Ó¦ÊµÀýÈçÏÂͼËùʾ£º

³ýÒÔÉÏÓ¦Ó㬶þäåÈý±½»ù좻¹¿É¼ÓÈëÒÔÏ·´Ó¦£º

²Î¿¼ÎÄÏ×£º
1. Jeffery, K.; Slayton, A. W. E. J. Org. Chem., 1986, 51, 5490.
2. Chavan, S. P.; Kharul, R. K.; Kamat, S. K.; Kalkote, U. R.;Kale, R. R. Synth. Commun., 2005, 35, 987.
3. Menger, F. M.; Galloway, A. L. J. Am. Chem. Soc., 2004, 126,15883.
4. Czarnik, A. W. J. Org. Chem., 1984, 49, 924.
5. Kamei, K.; Maeda, N.; Tatsuoka, T. Tetrahedron Lett., 2005,46, 229.
6. Georgin, D.; Taran, F.; Mioskowski, C. Chem. Phys. Lipids.,2003, 125, 83.
7. Aizpurua, J. M.; Cossio, F. P.; Palomo, C. J. Org. Chem.,1986, 51, 4941.
8. Pandey, M. K.; Bisai, A.; Singh, V. K. Tetrahedron Lett.,2004, 45, 9661.
9. Rocca, P.; Marsais, F.; Godard, A.; Queguiner, G.; Adams, L.;Alo, B. Tetrahedron Lett., 1995, 36, 7085.
10.¡¶ÏÖ´úÓлúºÏ³ÉÊÔ¼Á¡ª¡ªÐÔ×Ó¡¢ÖƱ¸ºÍ·´Ó¦¡·£¬ºúÔ¾·ÉµÈ±àÖø
