ÐÂÎŶ¯Ì¬
°±»ùËáÏûÐý»¯»áÓ°Ïì·Ö×ÓµÄÕûÌå¹¹ÐͺÍÉúÎï»îÐÔ£¬Ìá¸ßÊèÉ¢ÄѶȡ£ÎÞÏûÐý»¯Å¼ÁªÊÔ¼ÁµÄ·ºÆðÔòÓÐÓùæ±ÜÁËÏûÐý»¯Î£º¦£¬´ó´ó¼õµÍÁË´¿»¯ÄѶȺͶàëĵĴó¹æÄ£ºÏ³É±¾Ç®¡£ÏÖÔÚ£¬ÕâÀàÊÔ¼ÁÒѳÉΪ¶àëĺϳÉÖеÄÖ÷Òª¹¤¾ß¡£
Ȳõ£°·ÀàËõºÏÊÔ¼ÁÊÇÕÔ¾ü·æ½ÌÊÚÑз¢µÄÒ»ÀàÎÞÏûÐý»¯µÄËõºÏÊÔ¼Á£¬Í³³ÆÕÔÊÔ¼Á£¨´ú±í²úÆ·¼ûͼ1£©¡£ÏÖÔÚÎÒ˾ÒÑÓëÕÔ½ÌÊÚ½¨ÉèÉî¶ÈºÏ×÷£¬ÍƽøÕÔÊÔ¼ÁµÄ¹æÄ£»¯Éú²ú¡£Æä¼ÓÈëµÄËõºÏ·´Ó¦ÎÞÐèÌØÊâÌí¼Ó´ß»¯¼Á£¬¶Ô¿ÕÆøºÍË®ÌåÏÖ³öÓÅÒìµÄÄÍÊÜÐÔ£¬ÔÚ½üÖÐÐÔÌõ¼þÏ»ñµÃÄ¿µÄõ£°·£¬´Ó¶ø×èÖ¹Á˼îÒýÆðµÄÏûÐý»¯ÎÊÌâ¡£ÕÔÊÔ¼Áͨ¹ý¡°Á½²½Ò»¹ø·¨¡±µÄºÏ³ÉÕ½ÂÔ£¬ÒÑÀÖ³ÉÓÃÓÚõ£°·£¬´ó»·ÄÚõ¥£¬Áò´úõ£°·µÈ»îÐÔ·Ö×ӵĹ¹½¨£¨Í¼2£©¡£½øÒ»²½Ïàʶ¿É²ÎÔÄÒ»ÖÖ¸ßЧ¡¢²»±ØÐýµÄÐÂÐÍȲõ£°·ËõºÏÊÔ¼Á¡£

ͼ1 ÕÔÊÔ¼Á

ͼ2 ÕÔÊÔ¼Á½éµ¼µÄËõºÏ·´Ó¦
ÕÔ¾ü·æ½ÌÊÚ¿ÎÌâ×鿪·¢ÁËÒ»ÖÖÁªÏ©Íª½éµ¼µÄõ£°·³É¼üÒªÁ죬Ϊõ£°·¼üµÄÐÞ½¨ÌṩÁËеĽâ¾ö˼Ð÷¡£¸ÃÒªÁìÎÞÐèÌØÁíÍâµÄ´ß»¯¼ÁºÍÌí¼Ó¼Á¼ÓÈ룬Æä·´Ó¦Â·¾¶ÊÇͨ¹ýôÈËáÓëÁªÏ©Íª·´Ó¦ÌìÉúÏ©»ùõ¥ÖÐÐÄÌ壬¼Ì¶øÓë°··´Ó¦»ñµÃÏìÓ¦µÄõ£°·²úÆ·£¬×èÖ¹ÁËÏûÐý»¯Î£º¦²¢½µµÍÁËÆäËû¸±·´Ó¦µÄ±¬·¢£¬Í¬Ê±Õ¹ÏÖ³ö¶Ô¶àÖÖ×ÔÈ»°±»ùËáºÍ·Ç×ÔÈ»°±»ùËáµÄÆÕ±é˳ӦÐÔ¡££¨Í¼3£©

ͼ3 ±½»ùÁªÏ©Íª½éµ¼µÄËõºÏ·´Ó¦
×ÔOxyma±»Ö¤ÊµÔÚËõºÏ·´Ó¦ÖоßÓÐÓâÔ½¹Å°å±½²¢ÈýµªßòÀàÊÔ¼ÁµÄÍ»ÆÆÐÔÓÅÊÆºó£¬Ñ¸ËÙÒýÆð¿ÆÑ§¼ÒµÄÆÕ±é¹Ø×¢£¬²¢¿ª·¢³öһϵÁÐOxymaÑÜÉúÎ¾ßÓиßЧ£¬ÎÞÏûÐý»¯ºÍ±¬Õ¨Î£º¦µÈÌØÕ÷¡£ÏÂͼΪ¼¸ÖÖ´ú±íÐԵIJ»±¬·¢ÏûÐý»¯µÄOxymaϵÁÐÑÜÉúÎ¼ûͼ4£©¡£Æä·´Ó¦ºóµÄOxyma¸±²úÆ·£¬¿É½ÓÄÉÔÙÉúΪÏìÓ¦µÄÑÜÉúÎ×î´óÏ޶ȵĽµµÍ»¯Ñ§²ú·ÏÁ¿¡£ÏÖÔÚOxymaϵÁÐÑÜÉúÎïÒÑÀÖ³ÉÓÃÓÚõ£°·£¬õ¥µÈÒªº¦½á¹¹µ¥Î»µÄ¹¹½¨£¬ÏêϸÏÈÈݿɰݼûBoc-Oxyma | ¡°Ò»¼Á˫Ч¡±¹¹½¨ÐÂÐÍÂÌÉ«ºÏ³Éϵͳ¡£

ͼ4 OxymaϵÀûÑÜÉúÎï
N,N,N',N'-Ëļ׻ùÂȼ×ëßÁù·úÁ×ËáÑΣ¨TCFH£©ºÍN-¼×»ùßäßò£¨NMI£©µÄ×éºÏÊǰÙʱÃÀÊ©¹ó±¦¹«Ë¾¿ª·¢µÄÒ»ÖÖ¸ßЧõ£°·ËõºÏϵͳ¡£Õâ¸ö»Æ½ð×éºÏÒÔÔλÌìÉú¸ß·´Ó¦»îÐÔµÄN-õ£»ùßäßòæfÑεÄÐÎʽÔö½øËõºÏ·´Ó¦µÄ¾ÙÐУ¨¼ûͼ5£©£¬Õ¹ÏÖ³öÊÊÓõ×Îï¹æÄ£¹ãÇÒ²»±¬·¢²îÏòÒì¹¹»¯Õ÷ÏóµÈÊÖÒÕÓÅÊÆ£¬ÓÈÆäÊÊÓÃÓڵͻîÐÔ°·ºÍ´óλ×èôÈËá¼ÓÈëµÄËõºÏ·´Ó¦¡£½øÒ»²½Ïàʶ¿É²ÎÔĸßЧËá°·ËõºÏµÄ»Æ½ð×éºÏ£ºTCFH-NMI¡£

ͼ5 TCFH-NMI½éµ¼µÄËõºÏ·´Ó¦
2-ÂÈ-1-¼×»ùßÁव⻯Î¼ò³ÆCMPI£¬ÓÖ³Æ Mukaiyama reagents£¨ÏòɽÊÔ¼Á£©£¬Æä²Ù×÷±ã½Ý£¬ºó´¦Öóͷ£¼òÆÓ£¬ÊÇÒ»ÖÖ¾ßÓÐÉÌÒµ»¯¼ÛÖµµÄËõºÏÊÔ¼Á¡£CMPI¼ÓÈëµÄËõºÏ·´Ó¦Ò»Ñùƽ³£ÔÚÈõ¼îÐÔÌõ¼þϾÙÐУ¬ËüÓëôÈËá»î»¯ÐγÉôÈËáõ¥£¬½ø¶ø¾Ç׺ËÊÔ¼Á½ø¹¥±¬·¢°±½â£¬´¼½â·´Ó¦£¬¸ßЧ¹¹½¨Òªº¦½á¹¹µ¥Î»£¬²¢ÌṩÓÅÒìµÄ¹ÙÄÜÍżæÈÝÐÔºÍÏûÐý»¯ÒÖÖÆÄÜÁ¦£¨Í¼6£©¡£

ͼ6 ÏòɽÊÔ¼Á½éµ¼µÄËõºÏ·´Ó¦
ÍõÈñԺʿ¿ÎÌâ×鿪·¢µÄ5-Ïõ»ù-4,6-¶þÁòÇèËá»ùà×ण¨¼ò³ÆNDTP£¬Í¼7£©ÊÇÒ»ÖÖÎÂ˳£¬Ò×µÃÇÒ¿ÉÑ»·Ê¹ÓõÄÐÂÐÍËõºÏÊÔ¼Á¡£NDTPÔö½øôÈËáÐγÉõ£»ùÁòÇèËáõ¥ÖÐÐÄÌ壬Æä¾ßÓнϸߵÄÎȹÌÐÔºÍÀàõ£ÂÈ»îÐÔ£¬È»ºó±»°·/´¼ÀàÊÔ¼Á½ø¹¥£¬Äܹ»¿ìËٳɼüÇÒ²»±¬·¢ÏûÐý»¯£¨Í¼8£©£¬ÖµµÃ×¢ÖØµÄÊÇ£¬ÔÚNDTP½éµ¼µÄõ¥»¯·´Ó¦ÖУ¬ÔÚÎÂ˳Ìõ¼þÏ£¬1·ÖÖÓ¼´¿É³Éõ¥¡£

ͼ7 NDTP½á¹¹Ê½

ͼ8 NDTP½éµ¼µÄËõºÏ·´Ó¦
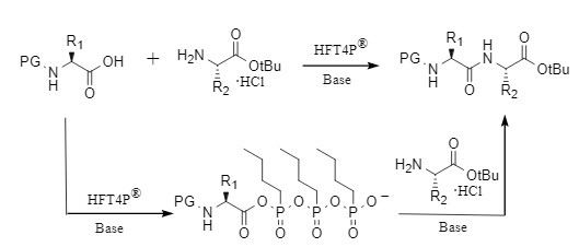
HFT4P?ÊÇÊ׿î¸ßЧ¡¢ÂÌÉ«¡¢Ìæ»»T3P?µÄÐÂÐÍËõºÏÊÔ¼Á£¨Í¼9£©£¬ÓÉÎÒ˾¿ª·¢²¢ÊµÏÖ¹¤Òµ»¯Éú²ú£¬Æä·´Ó¦Ìõ¼þÎÂ˳£¬¸±²úÆ·¾ßÓÐÓÅÒìµÄË®ÈÜÐÔ£¬²Ù×÷ÇáÓ¯£¬¿ÉÒÔÔö½ø¶àÖÖÒ×ÏûÐýµ×ÎïµÄżÁª·´Ó¦£¬²¢Ìṩ¸ü¸ßµÄÊÕÂʺͶÔÓ³´¿¶ÈµÄõ£°·£¨Í¼10£©¡£

ͼ9 HFT4P?½á¹¹Ê½

ͼ10 HFT4P?½éµ¼µÄËõºÏ·´Ó¦
³ýÁËÉÏÊöÖ÷Á÷ÊÔ¼ÁÍ⣬¹èÍéÀ༰ÅðËáôûµÈϵÁÐÎïÖÊÒ²ÕýÖð²½ÓÃ×÷ËõºÏÊÔ¼Á£¬ÏêϸÌåÏÖΪ¾ßÓиßЧµÄ»î»¯ÄÜÁ¦£¬ÆÕ±éµÄµ×ÎïÊÊÓÃÐÔ£¬ÓÅÒìµÄÏûÐýÒÖÖÆÄÜÁ¦¡£

¾ÓÉ22ÄêµÄ²»Ð¸Æð¾¢ºÍ»ýÀÛ£¬ÌÚ²©tengbo9885¹ÙÍøÉúÎïÔÚÈ«Çò¶àëĺϳÉÊÔ¼ÁÁìÓòÒ»Á¬Éî¸û£¬ÏÖÒÑÉú³¤³ÉΪ¾ßÓÐÆÕ±é¶¨ÖÆ²úÆ·ÁýÕÖÄÜÁ¦ºÍÏÔÖø¹æÄ£»¯Éú²úÓÅÊÆµÄÁìÏÈÆóÒµ¡£Ï־߱¸¶àÑù»¯¹æ¸ñµÄÏûÐýÒÖÖÆÊÔ¼ÁµÄ¹©Ó¦ÄÜÁ¦£¬Öª×ãÖÖÖÖ¿Í»§µÄÌØ¶¨ÐèÇó¡£ÎÒÃÇÕæÖ¿Ô¼Çë¶Ô¸Ã²úÆ·¸ÐÐËȤµÄ¿Í»§ÓëÎÒÃÇÁªÏµ£¬ÒÔ±ã½øÒ»²½Ïàʶ²úÆ·ÏêÇ飬²¢Ì½ÌÖºÏ×÷»ú»á¡£
²Î¿¼ÎÄÏ×£º
[1] Duengo, S.; Muhajir, M. I.; Maharani, R.; et al. Epimerisation in Peptide Synthesis[J]. Molecules, 2023, 28, 8017.
[2] Guo, Y. Y.; Wang, M. Y.; Gao, Y.; Liu, G. D. Recent advances in asymmetric synthesis of chiral amides and peptides: racemization-free coupling reagents[J]. Org. Biomol. Chem., 2024, 22, 4420-4435.
[3] Wang, X.W.; Yang, Y.; Zhao, J.F.; et al. Ynamide-Mediated Intermolecular Esterification[J]. J. Org. Chem. 2020, 85, 6188-6194.
[4] Wang, Z.N.; Wang, X.W.; Wang, P.H.; Zhao, J.F. Allenone-Mediated Racemization/Epimerization-Free Peptide Bond Formation and Its Application in Peptide Synthesis[J]. J. Am. Chem. Soc., 2021, 143, 10374-10381.
[5] Beutner, G.L.; Young, I.S.; Ye, Q.M.; et al. TCFH?NMI: Direct Access to N?Acyl Imidazoliums for Challenging Amide Bond Formations[J]. Org. Lett. 2018, 20, 4218-4222.
[6] Li, Y.P.; Wang, P.; Wang, R.; et al. NDTP Mediated Direct Rapid Amide and Peptide Synthesis without Epimerization[J]. Org. Lett., 2022, 24, 1169-1174.
