ÐÂÎŶ¯Ì¬
ÔÓ»·»¯ºÏÎïÔÚÉúÎïÀú³ÌÖÐÆðÖ÷Òª×÷Ó㬴Ó×ÔÈ»½çÖÐÊèÉ¢³öÀ´µÄÓлú»¯ºÏÎïÖ÷Òª²¿·ÖÊÇÓɵªÔÓ»·×é³ÉµÄ¡£´ó×ÚÊý¾Ý±¨µÀÅú×¢£¬×÷ΪÕòÍ´¿¹Ñ׺Ϳ¹Æ«Í·Í´Ò©ÎïµÄÔÓ»·»¯ºÏÎï¿ÉÒÔÓÐÓõ÷ÀíµªÑõ»¯Ó¦¼¤£¬²¢ÇÒ°ÐÏòÓÎÀ뵪ºÍÑõ×ÔÓÉ»ù£¬ÊÇδÀ´ÖÎÁÆÌÛÍ´µÄÒ»¸öºÜÓÐǰ;µÄÕ½ÂÔ¡£
ÔÚÔÓ»·Àà½á¹¹ÖУ¬Ìªõ£Ñǰ·¾ßÓÐÌØÊâµÄÉúÎïѧÒâÒå¡£Òѱ»±¨µÀΪ³ý²Ý¼Á¡¢É±³æ¼Á¡¢¿¹Éñ¾²¡Ò©ºÍ¿¹Ñ×Ò©£¬ÔںϳÉÖÐͨ³£±»ÓÃ×÷ºÏ³É¶àÖØÉúÎï»îÐÔ»¯ºÏÎïµÄÆðʼÖÊÁϺÍÖÐÐÄÌå¡£ÁíÍ⣬̪õ£Ñǰ·×÷Ϊ²®°·±£»¤»ùÍŵÄʹÓñ»ÆÕ±é±¨µÀ£¬ÌØÊâÊǨ»-°±»ùËáµÄºÏ³É¡£
ÔÚÕâÀïÎÒÃÇÖ÷ÒªÏÈÈݵϝºÏÎïÊÇN-±´úÍé»ùÁÚ±½¶þ¼×õ£Ñǰ·À໯ºÏÎҲ³ÆÎªÈ¡´ú̪õ£Ñǰ·ÄÚ»¯ºÏÎï¡£ÆäÖ÷Òª½á¹¹ÈçÏÂͼһ¡£

ͼһ ̪õ£Ñǰ·À໯ºÏÎï
̪õ£Ñǰ·À໯ºÏÎïµÄÓ¦ÓÃÖ÷ÒªÊÇÖÆ±¸²®°·ºÍÒ©ÎïºÏ³ÉÖÐÐÄÌå¡£ÏêϸʵÀýÓ¦ÓÃÈçÏ£º
01 ̪õ£Ñǰ·×÷Ϊ±£»¤»ùºÏ³É²®°·
N-äå¼×»ùÁÚ±½¶þ¼×õ£Ñǰ·£¬ÓÖÃûN-äå¼×»ù̪õ£Ñǰ·¡£ÓÉÓÚ·Ö×ӽṹÖк¬ÓÐÉú¶¯µÄäåÔ×Ó£¬¿ÉÒÔºÍÐí¶à»ùÍű¬·¢Ç׺ËÈ¡´ú·´Ó¦£¬ÔÙ¾ÍѵôPHT±£»¤»ùÍžͿɻñµÃÖÖÖÖÈ¡´ú¼×°·À໯ºÏÎ¼ûͼ¶þ£©£¬¹Ê¶øN-äå´úÍé»ùÁÚ±½¶þ¼×õ£Ñǰ·ÊÇÖ÷ÒªµÄÓлúºÏ³ÉÖÐÐÄÌ壬ÆÕ±éÓ¦ÓÃÔÚÒ½Ò©¡¢Å©Ò©¡¢È¾ÁϵÈÐÐÒµµÄÓлúºÏ³ÉÖС£

ͼ¶þ ÓÉN-äå¼×»ù̪õ£Ñǰ·±£»¤¶Ô²®°·À໯ºÏÎïµÄºÏ³É
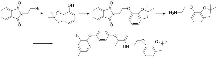
ÓÉN-äåÒÒ»ùÁÚ±½¶þ¼×õ£Ñǰ·ºÏ³ÉµÄN-[(¶þÇâ±½²¢ß»à«-7-Ñõ»ù£©Íé»ù]-2-·¼Ñõ»ùõ£°·ÑÜÉúÎ¼ûͼÈý£©¾ßÓÐÆÕ±éµÄÉúÎï»îÐÔ£¬ÔÚũҩÁìÓòÓÃ×÷³ý²Ý¼Á£¬Ö÷ÒªÓŵãÊǶÔË®µ¾×÷ÎïÇå¾²£¬¿ÉÓÃÓÚË®µ¾Ìï·À³ýºÌ±¾¿ÆÔӲݡ£

ͼÈý N-[(¶þÇâ±½²¢ß»à«-7-Ñõ»ù£©Íé»ù]-2-·¼Ñõ»ùõ£°·µÄºÏ³É
02 ¾ßÓÐɨ³ýDPPH×ÔÓÉ»ùõ¥¿¹Ñõ»¯»îÐÔ»¯ºÏÎïµÄºÏ³É
È¡´ú̪õ£Ñǰ·ÔÚÓлúºÏ³ÉÖÐÖ÷Òª×÷ÓÃÊÖÐÔ¹¹¿é£¬²¢¿É×÷ÎªÖÆ±¸¿¹¾ú¡¢ÕòÍ´¡¢¿¹Õæ¾ú¼Á¡¢É±¾ú¼Á¡¢Ö²ÎïÉú³¤µ÷Àí¼ÁµÈÉúÎï»îÐÔ»¯ºÏÎïµÄÒªº¦ÖÐÐÄÌå¡£ÒýÈëÒ»¸ö̼Ô×Ó¾àÀëµÄ¾àÀë²ã£¬½«Ìªõ£Ñǰ·µÄµª¶ËÓëõ¥»ùÅþÁ¬£¨¼ûÏÂͼËÄ£©¡£

ͼËÄ É¨³ýDPPH×ÔÓÉ»ùõ¥¿¹Ñõ»¯»îÐÔÎïµÄºÏ³É
03 ÈýµªßòÑÜÉúÎïµÄºÏ³É
ÒÔN-µþµª¼×»ù±½Ìªõ£Ñǰ·£¨ÓÉN-äå¼×»ùÁÚ±½¶þ¼×õ£Ñǰ·ºÏ³É¶øÀ´£©ºÍN-Ȳ±û»ù±½Ìªõ£Ñǰ·ÎªÖÊÁÏ£¬¾ÓÉ1,3ż¼«»·¼Ó³É·¨£¬ÔÚÈÈ´ß»¯»òÍ´ß»¯Ìõ¼þϺϳÉÁËÁ½¸ö¶þ£¨ÁÚ±½Ìªõ£Ñǰ·£©-1,2,3-ÈýßòÑÜÉúÎ¼ûͼÎ壩¡£¸ÃÀà»·õ£Ñǰ·¾ßÓÐÆÕ±éµÄÉúÎï»îÐÔ£¬ÔÚÌåÄÚÓпçÔ½ÉúÎïĤµÄÄÜÁ¦¡£Òò´Ë£¬»·õ£Ñǰ·¾ßÓÐÖÐÐÔºÍÇ×Ë®ÐÔ×Ó¡£

ͼÎå ¶þ£¨ÁÚ±½Ìªõ£Ñǰ·£©-1,2,3-ÈýßòÑÜÉúÎïµÄºÏ³É
ÉÏÊöÕâÖÖN-È¡´úÒìßÅßá-1,3-¶þͪÀ໯ºÏÎï¾ßÓп¹°©ÌØÕ÷£¬×÷ΪÖ×Áö»µËÀÒò×Ó¨»-(TNF-¨»)ÒÖÖÆ¼Á¡£º¬ÓÐÁ½¸öÁÚ±½¶þ¼×õ£Ñǰ·µ¥Î»µÄ·Ö×ÓÔöÌíÁË¿¹Ñ׺Ϳ¹TNF-¨»»îÐÔ¡£ÈËÃÇ»¹¿ÉÒÔʹÓòî±ðµÄ¾àÀëÎïÐÎ×´ºÍ³¤¶ÈÀ´µ÷ÀíÕâÐ©ÌØÕ÷¡£
04 À±¸ùËØÑÜÉúÎïµÄºÏ³É
À±¸ùËØÊÇÖ¸´ÓÀ±¸ùµÈÊ®×Ö»¨¿ÆÖ²ÎïÖÐÌáÈ¡³öÀ´µÄº¬ÓÐ-N=C=S»îÐÔ»ùÍŶþ»¯ºÏÎï¡£´ó×ÚÑо¿ÊÂÇé֤ʵÁËÀ±¸ùËØµÄ¸ß¿¹°©»îÐԺ͵ͻùÒò¶¾ÐÔ¡£¿ÉÊÇÁòÃÑÀàÀ±¸ùËØº¬Á¿µÍ£¬²»Ì«ºÃÌáÈ¡£¬Òò´ËºÏ³É½á¹¹ÐÂÓ±µÄÁòÃÑÀ±¸ùÒýÆðÁË¿ÆÑ§¼ÒµÄÆÕ±é¹Ø×¢¡£N-äå´úÍé»ùÁÚ±½¶þ¼×õ£Ñǰ·À໯ºÏÎï¿ÉÒԺϳÉÁòÃÑÀàÀ±¸ùËØ£¨¼ûͼÁù£©£¬ÁòÃÑÀàÀ±¸ùËØ¾ßÓÐÓÅÒìµÄ¿¹°©»îÐÔ£¬¿¹¹¬¾±°©£¬¿¹·Î°©£¬¿¹Èé°©µÈ»îÐÔ¡£

ͼÁù ÁòÃÑÀàÀ±¸ùËØÑÜÉúÎïµÄºÏ³É
05 ¶þÇâÑîÃ·ËØµÄºÏ³É
½üÄêÀ´£¬Ö²ÎïÒ©ÒÔ×ÔÈ»µÍ¶¾µÄÌØµã±¸ÊÜÇàíù£¬ÊôÓÚ»ÆÍªÀ໯ºÏÎïµÄ¶þÇâÑîÃ·ËØ¾ßÓжàÖÖÉúÎï»îÐÔ¡£ÁõµÂÓýµÈÈË·¢Ã÷º¬¶þÇâÑîÃ·ËØÒ©ÎïµÄѪÇå¿ÉÒÔͨ¹ý×è¶Ïϸ°ûµÄDNAºÏ³ÉºÍ¸´ÖÆÀ´ÒÖÖÆB16ÐþÉ«ËØÖ×Áöϸ°ûµÄÔöÖ³¡£ÖÜÄþÄþµÈÈËÑо¿±¨µÀ¹ý¶þÇâÑîÃ·ËØ¶Ô¸Î°©Be1-7402¡¢°×Ѫ²¡Ï¸°ûHL-60ºÍK562ϸ°ûµÄÌåÍâÒÖÖÆÂÊ¡£OhyamaM·¢Ã÷¶þÇâÑîÃ·ËØÒÒõ£»¯ºÏÎï¶ÔKB¿ÚÇ»°©Ï¸°ûÖêºÍMCF-7ÈéÏÙ°©Ï¸°ûÓÐÑ¡ÔñÐÔϸ°û¶¾×÷Ó᣶þÇâÑîÃ·ËØÑÜÉúÎÆäºÏ˽¼ûͼÆß£©Îª¾ÙÐп¹°©ÐÂÒ©Ñо¿µÄÓÅÁ¼Ïȵ¼Îï¡£

ͼÆß 8-¶à°·»ù¶þÇâÑîÃ·ËØÑÜÉúÎïµÄºÏ³É
±¾ÎÄÖ÷ÒªÏÈÈÝÁËÂ±ËØÈ¡´úµÄÍé»ùÁÚ±½¶þ¼×õ£Ñǰ·À໯ºÏÎïµÄÓ¦Óã¬Ö÷Òª°üÀ¨ÖÖÖÖÈ¡´úÍé»ù²®°·À໯ºÏÎïµÄºÏ³ÉÒÔ¼°Ê¹ÓÃÂ±ËØÈ¡´úµÄÍé»ùÁÚ±½¶þ¼×õ£Ñǰ·À໯ºÏÎïºÏ³ÉһЩ¾ßÓÐÉúÎï»îÐÔÑÜÉúÎïµÄÓ¦Ó᣹ʶøN-±´úÍé»ùÁÚ±½¶þ¼×õ£Ñǰ·ÊÇÖ÷ÒªµÄÓлúºÏ³ÉÖÐÐÄÌ壬ÆÕ±éÓ¦ÓÃÔÚÒ½Ò©¡¢Å©Ò©¡¢È¾ÁϵÈÐÐÒµµÄÓлúºÏ³ÉÖС£ÌÚ²©tengbo9885¹ÙÍøÉúÎï¿ÉÒÔΪÄãÌṩÓÅÖʵÄN-äå¼×»ùÁÚ±½¶þ¼×õ£Ñǰ·£¨5332-26-3£©¡¢N-Âȼ׻ùÁÚ±½¶þ¼×õ£Ñǰ·£¨17564-64-6£©¡¢N-(2-äåÒÒ»ù£©Áª±½¶þ¼×õ£Ñǰ·£¨574-98-1£©ÒÔ¼°N-£¨3-äå±û»ù£©ÁÚ±½¶þ¼×õ£Ñǰ·£¨5460-29-7£©µÈ£¬»¶ÓÀ´µç´¹Ñ¯£¡
