ÌÚ²©tengbo9885¹ÙÍø

ÐÂÎŶ¯Ì¬

Oxyma¼°ÆäÑÜÉúÎï
·ÖÀà £ºÐÂÎÅ
Ðû²¼Ê±¼ä £º2022/09/17
»á¼ûÁ¿ £º1987

Ò»¡¢Oxyma¼ò½é

ÖÐÎÄÃû³Æ£º2-ë¿ÇèÒÒËáÒÒõ¥
Ó¢ÎÄÃû³Æ£ºEthyl (hydroxyimino)cyanoacetate
CASºÅ£º3849-21-6

 

29f64e3f-9871-4857-a118-d3b669002ec0.png

Oxyma½á¹¹Ê½

 

¶þ¡¢Oxyma¼°ÆäÑÜÉúÎï×÷ΪżÁªÊÔ¼ÁµÄÓ¦ÓÃ


1. OxymaÊÔ¼Á


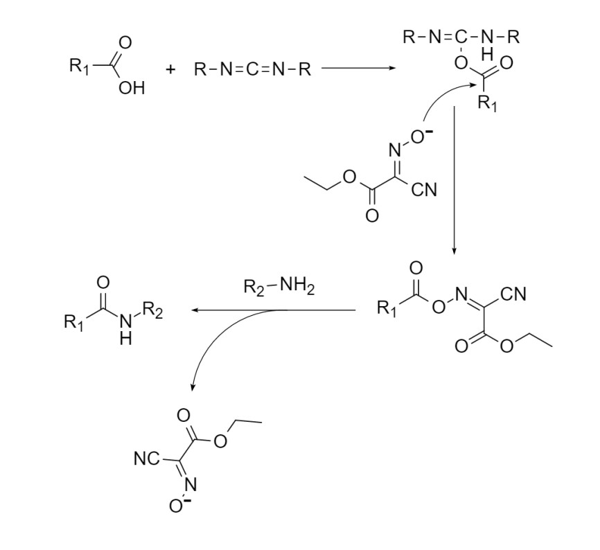
õ£°·¼ü²»µ«ÊÇ×ÔÈ»»îÐÔ»¯ºÏÎïµÄÖ÷Òª½á¹¹¹ÙÄÜÍÅ£¬ÈçÖÖÖÖ¶àëĺÍÂѰ×ÖÊ£¬Ò²ÊÇÐí¶àÓлú»¯ºÏÎï£¬ÌØÊâÊÇÒ©ÎïµÄÖ÷Òª×é³É²¿·Ö ¡£¾Ýͳ¼Æ£¬º¬õ£°·¼üÒ©ÎïÕ¼±È¸ß´ï25%£¬Òò´Ëõ£°·¼üµÄºÏ³ÉÓÈΪÖ÷Òª ¡£ÔÚÌÚ²©tengbo9885¹ÙÍøÉúÎ﹫ÖÚºÅÖÐÓÐרÃÅÏÈÈÝõ£°·¼üºÏ³ÉµÄÏà¹ØÎÄÕ£¬Ã¿Ò»ÖÖÏêϸºÏ³ÉÒªÁìÔڴ˲»ÔÙ׸Êö ¡£õ£°·¼üµÄºÏ³ÉÒªÁìÖڶ࣬µ«Í¨¹ý°±»ùÓëôÈ»ùÍŽáÍÑË®ÐγÉõ£°·¼üÔòÊÇ×î»ù±¾¡¢×îÖ±½ÓµÄÒªÁì ¡£Ò»Ñùƽ³£ÊÇôÈ»ùÏÈÓëÎüµç×Ó»ùÍÅÍÅ½á¶ø±»¼¤»î£¬ÔÙÓë°±¡¢²®°·»òÖÙ°··´Ó¦ÐγÉõ£°·¼ü ¡£¸ÃÒªÁì»î»¯ôÈ»ùÊÇ·´Ó¦µÄÒªº¦£¬²¢ÇÒÈÝÒ×±¬·¢ÏûÐý»¯£¬µ¼ÖÂÊÖÐÔËðʧ ¡£Òò´Ë̼¶þÑǰ·ÀàËõºÏ¼ÁʹÓÃʱÐèҪżÁªÌí¼Ó¼Á£¬ÐγɸüÎȵ±µÄ»îÐÔÖÐÐÄÌ壬ïÔÌ­ÏûÐý×÷Óò¢Ìá¸ß²úÂÊ ¡£1973Ä꣬Masumi ItohµÈÈËÉè¼ÆÁËOxyma£¬Æä¾ßÓÐÇ¿ËáÐÔºÍÇ׺ËÐÔ£¬Óë̼¶þÑǰ·ÁªÓÃʱ¾ßÓÐÒÖÖÆÏûÐý×÷Óà ¡£¾ßÓÐÎüµç×ÓÈ¡´ú»ùµÄÇè»ùë¿OxymaµÄpKa=4.6£¬ËáÐÔʹÆä¾ßÓÐÀëÈ¥»ùÍŵÄDZÁ¦£¬²¢ÇÒÔÚ´ó´ó¶¼ÈܼÁÖÐÓнϺõÄÏûÈÚÐÔ ¡£Òò´ËÔÚõ£°·¼üµÄºÏ³ÉÖÐOxyma×÷ΪżÁªÌí¼Ó¼ÁÓë̼¶þÑǰ·ÀàËõºÏ¼ÁÊÊÓþßÓÐÒ»¶¨µÄÓÅÊÆ ¡£

 

ôÈËáÏȺÍ̼¶þÑǰ··´Ó¦ÐγɻîÐÔÖÐÐÄÌ壬ÔÙÓëOxyma±¬·¢õ£»ù×ªÒÆ£¬Ì¼¶þÑǰ·ÀëÈ¥£¬È»ºóOxyma»îÐÔõ¥°±½âÐγÉõ£°·»¯ºÏÎï ¡£ÔÚÕâ¸öÀú³ÌÖУ¬Ðγɸ߶ÈÎȹ̵ĸ±²úÆ·ÄòËØ¡¢Á×õ£°·»ò»ÇËáÑÎÊÇ·´Ó¦µÄÖ÷Òª¶¯Á¦ ¡£·´Ó¦»úÀíÈçÏÂͼËùʾ£º

 

d0ff4062-977d-426f-9ede-8d8632403b6a.png

 

2012ÄêWangÍŶӱ¨µÀÁ˾ßÓÐË®ÈÜÐÔµÄ2-(Êå¶¡ÑõôÊ»ùÑõÑǰ·»ù) -2-Çè»ùÒÒËáÒÒõ¥(Glyceroacetonide¡ªOxyma)£¬Ê¹ÓÃÎÞ»ú¼î̼ËáÇâÄÆÔÚË®ÖÐÓëEDCIÁªÓã¬Óë°±±»±£»¤µÄ°±»ùËáËõºÏ£¬ÓнϺõIJúÂÊ£¬²¢ÇÒÏûÐýˮƽµÍ ¡£2013Ä꣬CherkupallyÍŶӽ«OxymaºÍÇâÑõ»¯¼Ø·´Ó¦³É¼ØÑΣ¬Ëü²»µ«Ôڴ󲿷ÖÓлúÈܼÁÖÐÓнϺõÄÏûÈÚ¶È£¬Ò²ÄÜÈÜÓÚË®ºÍÒÒ´¼£¬ÍŽáEDCIʹÓþßÓнϺõĴ߻¯»îÐÔ ¡£K-OxymaÓëEDCIÁªÓô߻¯Z-Phg-Pro-NH2²úÂÊΪ88%£¬DL/LLΪ1.2% ¡£Í¬Ä꣬ElfahamÍŶӱ¨µÀÁËÔÚ´ß»¯N-ÒÒõ£Àµ°±ËáÓë4-°±»ù±½¼×ËáżÁª·´Ó¦Ê±£¬µ±Ê¹ÓÃDICÓëOxymaÁªÓÃʱ£¬²úÂÊΪ88%£¬NMRÏÔʾÎÞÔÓÖÊ ¡£µ±Ê¹ÓÃDICÓëHOBtÁªÓÃʱ£¬²úÂÊ82%£¬NMRÏÔʾÓÐÔÓÖÊ£¬¿É¼ûOxymaÔÚ´ß»¯´Ë·´Ó¦Ê±²úÂʺʹ¿¶È¸ü¸ß ¡£

 

2. »·×´OxymaÊÔ¼Á

JadµÈÈËÉè¼ÆÁËÒ»ÀຬÓÐÁùÔª»·µÄHONM£¬»îÐÔºÜÊǸߣ¬Óë̼¶þÑǰ·ÊÊÓÃÓÚõ£°·¼üµÄżÁª·´Ó¦Ê±¸±·´Ó¦Ðí¶à£¬ÉõÖÁÎÞ·¨»ñÈ¡µ½Ä¿µÄ²úÆ· ¡£ÔÚ´Ë»ù´¡ÉÏÓÖÉè¼ÆÁ˰ͱÈÍ×Ààë¿ÑÜÉúÎïOxyma-BºÍOxyma-T£¬ÓÉÓڰͱÈÍ×Ëá½ÏÁ¿ÎȹÌ£¬Òò´ËÆä»îÐÔÊÊÖУ¬²¢ÇҽṹÖв»º¬ÓÐõ¥¼ü£¬ÒÔÊÇûÓÐÓÉõ¥±¬·¢µÄ¸±²úÆ· ¡£ËüÃǻʱ¼äºÜ¶Ì£¬Ò»Ñùƽ³£3min×óÓÒ¾ÍÓкܺõÄЧ¹û£¬ÔÚ´ß»¯Z-Phg-Pro-NH2ʱ£¬Oxyma-BÓëDICÊÊÓ㬲úÂÊ´ï90%£¬DL/LLΪ1.0%£»Oxyma-TÓëDICÊÊÓ㬲úÂÊ94.7%£¬DL/LLΪ0.7% ¡£Í¬ÑùËõºÏ¼ÁΪDICʱ£¬ÓëHOAtÊÊÓ㬲úÂÊΪ91.5%Ïà²îδ¼¸£¬µ«DL/LLΪ3.9% ¡£Óɴ˿ɼû£¬Oxyma-BºÍOxyma-TÊÕÂÊÓëHOAtÏà²î²»´ó£¬µ«ÔÚÒÖÖÆÏûÐý·½ÃæÏÔ×ÅÓÅÓÚHOAt ¡£

 

9095aab6-f73d-4aec-bf59-2504a0c6b511.png

 

3. Boc¡¢Fmoc¡¢AllocµÈ±£»¤µÄOxymaÊÔ¼Á

Boc¡¢Fmoc¡¢AllocµÈ±£»¤»ùͨ¹ýÐγɻìÏýËáôû´Ó¶ø¾ßÓÐÒÖÖÆÏûÐý»¯±¬·¢µÄ×÷Óã¬Òò´ËThalluriºÏ³ÉÁËBoc-Oxyma¡¢Fmoc-OxymaºÍAlloc-Oxyma ¡£ÒÔBoc-OxymaΪÀý£¬ËüÄÜÓÐÓõ碌îôÈËáÐγÉõ£°·¡¢ëÄ¡¢õ¥¡¢ÁòÃѺÍôÇë¿ËáµÈ£¬¸±²úÆ·Ö»ÓÐÒ×È¥³ýµÄ¶þÑõ»¯Ì¼¡¢2-¼×»ù-2-±û´¼ºÍ¿É½ÓÄɵĹÌÌåOxyma ¡£ÔÚ´ß»¯õ£°·ºÏ³ÉʱÎÞÂÛÊÇÒ»¼¶°·Õվɶþ¼¶°·ÊÕÂʾùÔÚ85%ÒÔÉÏ£¬ÔÚ´ß»¯ÊÖÐÔ»¯ºÏÎïZ-Gly-Phe-Val-OMeµÄºÏ³Éʱ£¬ÍêȫûÓÐÏûÐýµÄ±¬·¢ ¡£

 

6c15fd52-fe75-4b39-87e5-7ea4ae32bfb5.png

 

4. COMUÊÔ¼Á

COMUÊÇÒ»ÖÖº¬ÓÐÂð·Èëå½á¹¹µÄOxymaÁù·úÁ×ËáÑΣ¬ÔÚ³£ÓÃÈܼÁÖÐÓнϺõÄÏûÈÚÐÔ²¢ÇÒÎÈ¹Ì ¡£COMUÖк¬ÓлîÐԽϸߵÄC-O¼ü£¬µ¼ÖÂËüÔÚ¼«ÐԽϴóµÄÈܼÁÖÐÒ×Ë®½â³ÉOxymaºÍ¶þ¼×»ùÂð·Èëå ¡£¿ÉÊÇËüÔÚÒÒëæºÍ¦Ã-ÎìÄÚõ¥ÖÐÎȹÌÐԽϺ㬲¢ÇÒµ±ÓÃTMP×÷Ϊ¼î´ß»¯Ê±£¬·´Ó¦Àú³ÌÓÐÏÔ×ÅÑÕɫת±ä£¬·´Ó¦ÖÕµãʱ·´Ó¦ÒºµÄºìÉ«ÏûÊűäΪÎÞÉ« ¡£COMUÓëËõºÏ¼ÁÊÊÓÃʱ£¬ÄÜ×îºéÁ÷ƽµÄÒÖÖÆÏûÐý»¯µÄ±¬·¢£¬ËüµÄ¸±²úÆ·ÊÇË®ÈÜÐԵģ¬Ò×ÓÚÈ¥³ý ¡£

 

e3f4e6f4-6885-485d-9b6d-6914c21560bd.png

 

5. OxymaÁ׿fÑΡ¢ëåæfÑÎżÁªËõºÏ¼Á

Ëæ×ÅOxymaÊÔ¼ÁÒ»Ö±µÄ¿ª·¢£¬ÓÃ;ҲԽÀ´Ô½ÆÕ±é£¬²»µ«×÷ΪÌí¼Ó¼ÁÓëËõºÏ¼ÁÊÊÓ㬻¹¿ÉÒÔµ¥¶À×÷ΪżÁªËõºÏ¼ÁʹÓà ¡£SubirsµÈÏÈÈÝÁËÒ»ÀàÁ׿fÑÎżÁªËõºÏ¼ÁPyOxPºÍPyOxB£¬JadµÈ±¨µÀÁËÒ»×éëåæfÑÎÀàżÁªËõºÏ¼ÁTOMBUºÍCOMBU£¬ÒÔÉÏÌáµ½µÄ¼¸ÖÖËõºÏ¼Á²»ÐèÒªºÍ̼¶þÑǰ·ÍŽáʹÓ㬼´¾ßÓнϺõĴ߻¯Ð§¹û ¡£

 

d97ddd1d-c9a4-4c88-9176-7e9d42b1762b.png

 

Èý¡¢½áÓï


Oxyma¼°ÆäÑÜÉúÎï×÷ΪһÖÖÖ÷ÒªµÄÐÂÐÍżÁªÊÔ¼Á£¬ÆñÂÛÔÚÓлúºÏ³ÉÁìÓòÕÕ¾ÉÉúÎïÒ½Ò©·½ÃæÔ½À´Ô½Êܵ½Çàíù ¡£Öйú¿ÆÑ§ÊÖÒÕ´óѧ»¯Ñ§ÏµÍõ·çÁÁ¡¢ÐíÁáµÈÈËʹÓÃOxymażÁª¼ÁÔÚÊ÷Ö¬ÉÏÒ»´ÎÐԺϳÉÁ˾ßÓÐÖÎÁÆÌÇÄò²¡¹¦Ð§µÄ¶àëÄÒ©ÎïÀûÀ­Â³ëÄ(Liraglutide)£¬¾ßÓнϸߵĺÏЧ¹ûÂÊ£¬¸Ã¼Æ»®µÄÀÖ³ÉʵÑéΪʹÓû¯Ñ§ÒªÁì´ó¹æÄ£ºÏ³ÉÀûÀ­Â³ëÄÌṩÁË¿ÉÄÜ ¡£

ÍøÕ¾µØÍ¼