ÐÂÎŶ¯Ì¬
Boc»ùÍű£»¤ÔÚÓлúºÏ³ÉÖÐÓ¦Óü«ÆäÆÕ±é£¬Ò²ÊÇÏÖÔÚ¶àëĺϳÉÖйãΪ½ÓÄɵݱ»ù±£»¤»ù£¬ÌØÊâÊÇÔÚ¹ÌÏàºÏ³ÉÖУ¬°±»ùµÄ±£»¤¶àÑ¡ÓÃBoc»ùÍÅ¡£Boc»ùÍÅÍѳý¾ßÓÐÒÔϵÄÓŵ㣺Ò×ÓÚËáɨ³ýÈ¥£¬µ«ÓÖ¾ßÓÐÒ»¶¨µÄÎȹÌÐÔ£»Ëá½âʱ±¬·¢µÄÊÇÊå¶¡»ùÑôÀë×ÓÔÙÆÊÎöΪÒì¶¡Ï©£¬ËüÒ»Ñùƽ³£²»»á´øÀ´¸±·´Ó¦£»¶Ô¼îË®½â¡¢ë½âºÍÐí¶àÇ׺ËÊÔ¼ÁÎȹ̣»¶Ô´ß»¯Çâ½âÎȹ̣¬µ«±ÈCbz¶ÔËáÒªÃô¸ÐµÃ¶à¡£Òò´ËBoc»ùÍŵÄÍѳýÒÔËá½âΪÖ÷£¬µ«¶ÔËáÃô¸ÐµÄµ×ÎïÒ²¿ÉÔÚÖÐÐÔ»ò¼îÐÔÌõ¼þÏÂÍѳý¡£
µ«¹ØÓÚµ×ÎïÖÐÓÐÁ½¸öÉõÖÁ¶à¸öBoc»ùÍÅÐèҪѡÔñÐÔÍѳýʱ¾ÍÓÐËù¾ÖÏÞÁË£¬ÏÂÃæÎÒÃÇÀ´ÌÖÂÛһϹØÓÚË«Boc°·Ñ¡ÔñÐÔÍѳýÒ»¸öBocµÄÏà¹ØÎÊÌâ¡£
Ë«Boc°·Ñ¡ÔñÐÔÍѳýÒ»¸öBocµÄÒªÁì
1¡¢TMSOtfºÍ¸ßÂÈËáþ¡¢ä廯пµÈÆäËû·Ò×˹Ëá
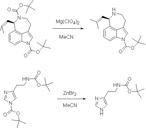
TMSOtfºÍ¸ßÂÈËáþÒÔ¼°ä廯пµÈ·Ò×˹Ëá½ÏÁ¿ÎÂ˳¿ÉÓÃÓÚ¶àBoc±£»¤µÄÑ¡ÔñÐÔÍѳý¼Á£¬Æ¾Ö¤²î±ðµ×Îï¿ØÖÆ·´Ó¦Î¶ȺÍʱ¼ä£¬ÊµÀýÈçÏÂͼËùʾ£º

ÔÚË«Boc°·Ñ¡ÔñÐÔÍѳýÒ»¸öBocʱ¶Ô·Ò×˹ËáµÄÑ¡ÔñÒ²ºÜÖ÷Òª£¬ÊµÀýÈçÏ£º

¸Ãµ×ÎïÄ¿µÄ²úƷΪ»¯ºÏÎïA£¬Ê¹ÓÃä廯пѡÔñÐÔÍѳýʱ»á»ñµÃ»¯ºÏÎïAºÍBµÄ»ìÏýÎ¶øÊ¹ÓÃTMSOtfºÍ¸ßÂÈËáþʱÔòÓкܺõÄÑ¡ÔñÐÔ»ñµÃ¸ß´¿¶ÈµÄ»¯ºÏÎïA¡£
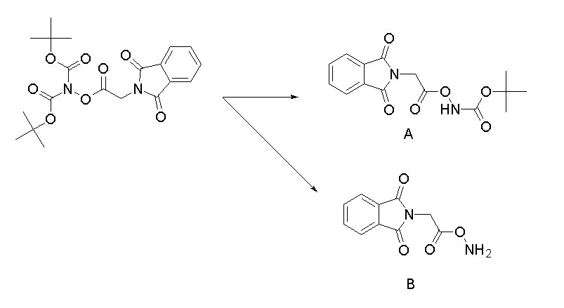
¶øÓеĵ×ÎïʹÓøßÂÈËáþ»á»ñµÃÍѳýÒ»¸öºÍÁ½¸öµÄ»ìÏýÎ´ËʱTMSOtf¼´ÊǺܺõÄÑ¡Ôñ£¬µ«TMSOtf¼ÛÇ®½Ï¹ó£¬Í¨³£Ê¹ÓÃÈý¼×»ùäå¹èÍéÓëµâ»¯¼ØÊÊÓÃÒÔµÖ´ïTMSOtfµÄЧ¹û¡£·´Ó¦ÊµÀýÈçÏ£º

2¡¢¼îÐÔÌõ¼þ
¹ØÓÚËáÃô¸Ðµ×ÎïÓÐʱҲ¿ÉÒÔÑ¡Ôñ¼îÐÔÌõ¼þµÄÍѳý£¬ÀýÈçÊå¶¡´¼ÄÆ»ò¼×´¼ÄÆ¿ÉÒÔÍѳýÉú¶¯ÇâµÄNÉÏBoc±£»¤»ù£¬ÒªÑ¡ÔñÐÔÍѳýÒ»¸öÔò¶Ô¼îÐÔÇ¿ÈõÓÐÒªÇó£¬ÀýÈçÈçϵ×Îï¿ÉÒÔÓü״¼ÄÆ/¼×´¼ÏµÍ³Ñ¡ÔñÐÔÍѳý£º

µ«Óеĵ×Îï¼îÐÔÇ¿µÄÌõ¼þϾͱ£´æÁ½¸ö¶¼ÍѵôµÄΣº¦£¬Ì¼Ëá¼ØÔò¾ßÓнϺõÄÑ¡ÔñÐÔ£¬·´Ó¦ÊµÀýÈçÏ£º

3¡¢ËáÐÔÌõ¼þ
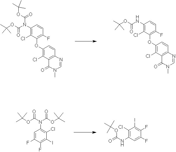
ËáÐÔÌõ¼þÊÇÍÑBoc»ùÍÅÆÕÊÊÐÔÌõ¼þ£¬µ«ÔÚÑ¡ÔñÐÔÍѳýBocʱÍѳýÁ½¸öµÄΣº¦ºÜ´ó£¬½Ï¶àʹÓõÄÊǵÍŨ¶ÈµÄÈý·úÒÒËá¶þÂȼ×ÍéÈÜÒºÔÚµÍÎÂÏÂÑ¡ÔñÐÔÍѳý£¬ÊµÊ±¼à¿Ø·´Ó¦Àú³Ì£¬×èÖ¹ÍѳýÁ½¸öµÄÔÓÖÊ¡£·´Ó¦ÊµÀýÈçÏ£º

С½á
¹ØÓÚË«Boc°·µÄÑ¡ÔñÐÔÍѳýÒªÁìËäÓÐÒ»¶¨µÄ¾ÖÏÞÐÔ£¬µ«Ò²ÄÜ´ÓÒÔÉÏÒªÁìÖÐÑ¡Ôñ³öºÏÊʵÄÍѳýÒªÁ죬²¢ÇÒͨ¹ý´ó×ÚÆ½ÐÐʵÑéÀ´Ì½Ë÷ÏàÒ˵ķ´Ó¦Ìõ¼þºÍ·´Ó¦Ê±¼äÒÔ»ñµÃÄ¿µÄ²úÆ·¡£
²Î¿¼ÎÄÏ×£º
1. Org.Proess Res.Dev.2004,8,330-340
2. Journal of the American Chemical Society, 1996, vol. 118, # 9, p. 2301 - 2302
3. J.Org.Chem.2006,71,9045-9050
4. OPRD,2005,9,466-471
5. J.Org.Chem.2005,70-5869-5879
6. Synth.Commum.,1989,19,3139
7. Tetrahedron Letters 45(2004)905-906
8. Journal of Medicinal Chemistry, 2013, vol. 56, # 15, p. 6273 - 6277
