ÐÂÎŶ¯Ì¬
»Çõ£ÂÈÑÜÉúÎïÔÚ»¯Ñ§ºÍÉúÎïѧÁìÓòÖÐÊÎÑÝ×ŶàÖØ½ÇÉ«£¬ÒòÆäÆæÒìµÄ»¯Ñ§ÐÔ×Ó¶øÊܵ½ÆÕ±éµÄ¹Ø×¢ºÍÑо¿¡£ËüÃÇÊÇÐí¶àÒ©ÎïµÄÒªº¦ÖÐÐÄÌ壬º¸ÇÁË¿¹¾ú¡¢¿¹²¡¶¾ºÍ¿¹°©Ò©ÎïµÈ¶à¸öÖֱ𡣻Çõ£ÂÈÑÜÉúÎﻹ¿ÉÒÔ×÷ΪÉúÎï»îÐÔ·Ö×ÓµÄ̽Õ룬ÓÃÓÚÑо¿ÂѰ×ÖʵĹ¦Ð§ºÍ½á¹¹£¬±ðµÄ£¬»Çõ£ÂÈÑÜÉúÎïÒ²ÔںϳɸßÐÔÄܾۺÏÎïºÍÍâò¸ÄÐÔ¼Á·½ÃæÊ©Õ¹×ÅÖ÷Òª×÷Óã¬ÕâЩÖÊÁÏÔÚµç×Ó¡¢¹âѧºÍÉúÎïҽѧµÈÁìÓòÓÐ×ÅÆÕ±éµÄÓ¦Óá£
2,4,6-ÈýÒì±û»ù±½»Çõ£ÂÈ£¨¼ò³ÆTPSCl£©£¬ÊÇÓлúºÏ³ÉÖÐ×îÖ÷ÒªµÄÓлúÁò»¯ºÏÎïÖ®Ò»£¬ËüÔÚÖÆÒ©¡¢µ¯ÐÔÌ塢ȾÁÏ¡¢Ï´µÓ¼Á¡¢Àë×Ó½»Á÷Ê÷Ö¬ºÍ³ý²Ý¼ÁµÈ¶àÖֺϳÉÁìÓòÖж¼ÓÐÆÕ±éÓ¦Óá£ÖµµÃÇ¿µ÷µÄÊÇ£¬TPSCl²»µ«×ÔÉíÕ¹ÏÖ³öÓÅÒìµÄÉúÎï»îÐÔ£¬ÊÇÒ»ÖÖÓÐÓÃµÄ 3MDR ÂѰ×ÒÖÖÆ¼Á£¬ÏÔʾ³öÓÅÒìµÄ¿¹ÒÖÓô»îÐÔ£¬±ðµÄ£¬TPSClÕÕ¾ÉһЩÂѰ×øÒÖÖÆ¼ÁµÄÒªº¦½á¹¹µ¥Î»£¬ÈçͼËùʾ£¬TPSCl×é³ÉµÄÂѰ×øÒÖÖÆ¼ÁÕ¹ÏÖÁËÆäÆæÒìµÄ½á¹¹ÓëDZÔڵĹ¦Ð§¼ÛÖµ¡£

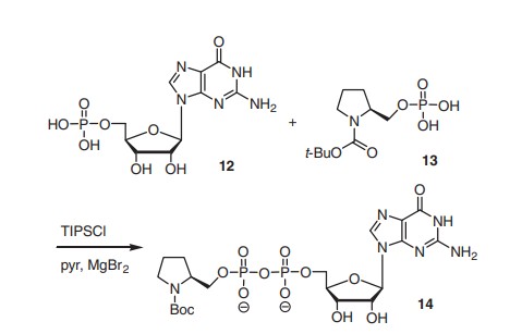
TPSClÔÚÓлúºÏ³ÉÁìÓòÖеÄÓ¦ÓÃÊ®·ÖÆÕ±é£¬ËüÊÇÒ»ÖÖ¸ßÑ¡ÔñÐÔËõºÏ¼Á£¬×î³õÓÉ Khorana ÍŶÓÌá³ö£¬Ó¦ÓÃÓڹѺËÜÕËáºÍ¶àºËÌǺËÜÕËáºÏ³ÉÖУ¬ÓÃÒÔ¹¹½¨ C3¡ä¨CC5¡ä ºËÜÕËá¼äµÄ¼ü£¬ÈçÏÂͼËùʾ£¬ÔÚTPSCl×÷ÓÃÏ£¬µÚÒ»¸öºËÜÕËᵥλµÄ3¡ä-Á×Ëá»ùÍÅ£¬ÓëµÚ¶þ¸öºËÜÕËᵥλµÄ5¡ä-ôÇ»ù¸ßЧµÄ±¬·¢ËõºÏ·´Ó¦£¬ÎÞÐèÈκÎÌí¼Ó¼Á£¬¼´¿ÉÐγÉÎȹ̵ÄÁ×Ëáõ¥¼ü¡£

±ðµÄ£¬TPSClÒ²¿ÉÒÔÓÃÓÚ¶þÁ×ËáÑεĺϳɣ¬ÀýÈçºÏ³É¶þÁ×ËáÄñÜÕ-ßÁ¿©ÍéÑÜÉúÎÕâÒ»ÑÜÉúÎï±»ÒÔΪÊÇÒ»ÖÖDZÔÚµÄÑÒÔåÌÇ»ù×ªÒÆÃ¸ÒÖÖÆ¼Á¡£

ÔÚºËÜÕ¼î»ùC-4λµÄôÊ»ù°·»¯·´Ó¦ÖУ¬TPSClͬÑùʩչÁËÖ÷Òª×÷Óã¬ÒÔ5-ôǼ׻ù-2¡ä-ÍÑÑõ°ûÜÕÑÇÁ×õ£°·ÀàËÆÎïµÄºÏ³ÉΪÀý£¬ÔÚTPSClµÄ¼ÓÈëÏ£¬ÊµÏÖÁËÄòÜÕÖÁ°ûÜÕµÄת»¯¡£

ÓÖÈçImotoÍŶÓÔںϳÉÕë¶ÔÒҸβ¡¶¾µÄ»îÐÔÎïÖÊʱ£¬Í¬Ñù½èÖúTPSClʵÏÖôÊ»ùÖÁ°±»ùµÄת»¯¡£

³ýÁËÉÏÊöÓÃ;Í⣬TPSClÕÕ¾ÉºÏ³ÉÆäËû¶à¹¦Ð§ÊÔ¼ÁµÄÖ÷ÒªÖÊÁÏ£¬ÈçÏÂͼËùʾ£¬ÆäÖаüÀ¨TPSI£¬TPST£¬1-(2,4,6-ÈýÒì±û»ù±½»Çõ£»ù)-1,2,3,4,-ËÄßòµÈÓÃÓÚºËÜÕËáËõºÏµÄÊÔ¼Á¡¢ÓÃÓÚÏ©Ìþ»¹ÔºÍºÏ³ÉëêÀàÎïÖʵÄTSFHÒÔ¼°ÓÃÓÚÖØµª¡¢µþµª×ªÒƵÄ2,4,6-ÈýÒì±û»ù±½»Çõ£»ùµþµª»¯ÎïµÈ¡£

²Î¿¼ÎÄÏ×£º
[1] Jeelani, A.; Muthu, S.; Irfan, A.; et al. Experimental spectroscopic, molecular structure, electronic solvation, biological prediction and topological analysis of 2, 4, 6-tri (propan-2-yl) benzenesulfonyl chloride: An antidepressant agent[J]. J. Mol. Liq. 2022, 358, 119166.
[2] Renatus, M.; Bode, W.; Huber, R.; et al. Structural and Functional Analyses of Benzamidine-Based Inhibitors in Complex with Trypsin: Implications for the Inhibition of Factor Xa, tPA, and Urokinase[J] J. Med. Chem. 1998, 41, 5445-5456.
[3] Colin, B.R.; Zhang, P.Z. Phosphotriester Approach to the Synthesis of Oligonucleotides: A Reappraisal[J]. J. Chem. Soc., Perkin Trans. 1, 1993, 2291-2301.
[4] Lin, T.C.; Fang, J.M. Diphosphate formation using cyanuric chloride or triisopropylbenzenesulfonyl chloride as the activating agents[J]. Tetrahedron Letters. 2011, 52, 2232-2234.
[5] Ö£ÐÞ°². ÌØÊâºËÜÕ¼°ºËÜÕÁ×õ£»¯ºÏÎïµÄºÏ³ÉÒªÁìÑо¿[D]. ½Î÷£º½Î÷¿Æ¼¼Ê¦·¶´óѧ, 2019.
[6] Onitsuka, K.; Tokuda, R.; Lmoto, S.; et al. Synthesis and evaluation of the anti-hepatitis B virus activity of 4'-Azido-thymidine analogs and 4'-Azido-2'-deoxy-5-methylcytidine analogs: structural insights for the development of a novel anti-HBV agent[J]. NUCLEOS NUCLEOT NUCL. 2020, 39, 518-529.
[7] Narang, S.A.; Itakura, K.; Katagiri, N. Novel Condensing Reagents for Polynucleotide Synthesis[J]. J.C.S. CHEM. COMM. 1974, 325-326.
