ÐÂÎŶ¯Ì¬
´ó´ó¶¼ëĵĺϳÉÊÇͨ¹ý½ÓÄÉFmoc»òBoc±£»¤ÒªÁìµÄ¹ÌÏàëĺϳÉÀ´ÊµÏֵģ¬È»¶øÔÚʹÓÃFmoc-OSuʱ£¬ÓÉÓÚ¶þëÄ£¨»òÈýëÄ£©ºÍ¦Â-±û°±õ£°·ÔÓÖʵÄÐγɣ¬ÔÚ°±»ùËáÖÐδÊܱ£»¤µÄNÒýÈëFmocËÆºõ¾ßÓÐÌôÕ½ÐÔ¡£ÔÚ´ËÏÈÈÝÒ»ÖÖ»ùÓÚ뿵ÄÑÜÉúÎïFmoc-AmoxºÏ³ÉFmoc-Gly-OHµÄÓÐÓÃÒªÁ죬ÇÒûÓÐÈκθ±·´Ó¦¡£Fmoc-Amox¼ÛÇ®µÍÁ®£¬²¢ÇÒAmoxÔÚ·´Ó¦ºó¿ÉÒÔºÜÈÝÒ×µØÈ¥³ý£¬´Ó¶øÌṩ²»º¬ÈκÎÓк¦ÔÓÖÊ»òÎÛȾÎÖ÷ÒªÊǶþëÄ»òAmox×Ô¼º£©µÄ´¿Fmoc-Gly-OH£¬ÕâÒ»µã¿ÉÒÔ´Ó¸ßЧҺÏàÉ«Æ×ºÍºË´Å¹²Õñ»ñµÃÂÛÖ¤¡£
1963Ä꣬MerrifieldÐÎòÁËÒ»ÖÖÈ«ÐµĻ¯Ñ§ºÏ³É¿´·¨£¬Êг¡ÉÏÓÐһЩҩÎïµÄ»îÐÔÒòËØ(API)ÊÇTIDES£¨¹ÑºËÜÕËáºÍëÄÖÎÁƼÁ£©£¬º¬Óжà´ï30-40¸öµ¥Ì壬ÕâЩµ¥ÌåÊÇʹÓÃMerrifieldÊ×´ÎÐÎòµÄ¹ÌÏàÒªÁìÉú²úµÄ¡£ËäȻһ×îÏȹÌÏàëĺϳɣ¨SPPS£©ÒªÁìÔÚijÖÖˮƽÉÏÊܵ½ÁËËûÅ·ÖÞͬʵÄÖÊÒÉ£¬µ«ÏÖÔÚ´ËÒªÁìÒѾÆÕ±éÓ¦ÓÃÓںϳÉÑо¿¼°Éú²ú¡£
´ÓÃüÃû¿ÉÒÔ¿´³ö£¬ËùÓа±»ùËáÖÁÉÙÓÐÁ½¸ö¹ÙÄÜÍÅ£ºÒ»¸öôÈËáºÍÒ»¸ö°±»ù¡£ÈôÊǰ±»ùËáC×îºóôÈËáµÄ»îÐÔ±»²»ÈÜÐԸ߷Ö×Ó»ùÍÅÑÚÊΡ¢°±»ù±»ÔÝʱ±£»¤ÆðÀ´£¬ÔÙÖð²½Ò»Á¬µÄ¼ÓÈë·´Ó¦£¬Ò²°üÀ¨Íѳý°±»ùµÄ±£»¤»ùÍÅ£¬È»ºóÓëÏÂÒ»¸öN±»±£»¤µÄ°±»ùËá¾ÙÐÐżÁª¡£È»¶ø£¬ÔÚÈý¹ÙÄÜÍ۱»ùËáµÄÇéÐÎÏ£¬²àÁ´Ôò±»ÓÀÊÀ£¨»ò°ëÓÀÊÀ£©±£»¤»ùÍÅËù±£»¤¡£ÔçЩÄ꣬MerrifieldʹÓÃÜлù (Bn) ¾ÙÐкã¾Ã±£»¤£¬Ê¹ÓÃÊå¶¡Ñõ»ùôÊ»ù (Boc)×÷ΪÔÝʱ±£»¤»ùÍÅ£¬¿ÉÊÇBocºÍBn¶¼¿ÉÒÔÔÚËáÐÔÌõ¼þÏÂÆÊÎö£ºÈý·úÒÒËᣨTFA£©ÍÑBoc¡¢Ç¿ËáÈçHF»òÈý·ú¼×»ÇËᣨTFMSA£©Ë®½âBn¡£ÔÚ70ÄêÔ£¬Í¬ÑùÌá³ö¹ýBoc±£»¤»ùÍŵÄCarpino£¬Í¨¹ýÌá³öÜÌ»ù¼×ÑõôÊ»ù(Fmoc)×÷ΪÔÝʱ±£»¤°±»ùµÄ»ùÍÅ£¬³¹µ×¸Ä±äÁËëÄ»¯Ñ§ÁìÓò£¬¼´¿ÉÒÔʹÓüîÍѳýN±£»¤»ùÍÅ£¬Òò¶øÓëBoc»ùÍÅÕý½»¡£±ðµÄ£¬Å·ÖÞµÄSheppardºÍAtherton£¬ÓëÃÀ¹úµÄChangºÍ Meienhoferͬʱ¿ª·¢ÁËFmoc/t-BuÒªÁ죬·´Ó¦ÓÃTFAÈÜÒº´¦Öóͷ£ºóÊͷųöëÄ¡£¸ÃÒªÁìµÄʵÑé±ê¼Ç×Åëĺϳɵġ°Æ½Ãñ»¯¡±£¬ÓÉÓÚBoc/BnÒªÁìµÄʹÓÃÐèҪѵÁ·ÓÐËØµÄ»¯Ñ§ÊÂÇéÕߺÍÌØÊâ×°±¸£¬¶øÍ¨¹ýFmoc/t-BuÒªÁ죬ÆäËûÉúÎïѧʵÑéÊÒÒ²Äܹ»ºÏ³ÉëÄ¡£±ðµÄ£¬¸ÃÒªÁìÒÑʵÏÖÁËÉú²ú¹«½ï¼¶ëÄ¡£
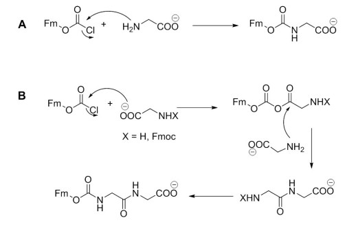
×î³õÉÌÒµ»¯µÄFmoc-°±»ùËáÊÇÓÃSchotten-BaumannÒªÁìºÏ³É£º°±»ùËáÓëFmoc-ClÔÚ¼îÐÔÌõ¼þÏ·´Ó¦£¨Í¼1A£©¡£80ÄêÔÂÔçÆÚ£¬AshishС×éºÍBachem¡¢GoodmanÖ¸³öÁË´ó´ó¶¼ÉÌÒµ»¯Fmoc-°±»ùËáÖаüÀ¨¶þëĺÍÈýëÄ£¬ÕâЩÔÓÖÊÀ´×ÔFmoc-ClµÄ¸ß·´Ó¦ÐÔ£¬ËüÒ²¿ÉÒÔÓëÒª±£»¤µÄ°±»ùËáµÄôÈ»ù·´Ó¦ÌìÉúËáôû£¬ËáôûÓÖ¿ÉÒÔÓëÁíÒ»¸ö°±»ùËá·Ö×ӵİ·×îºó·´Ó¦£¬µ¼ÖÂÐγɶþëÄ¡£»úÖÆÈçͼ1BËùʾ¡£

ͼ1 °±»ùËáµÄFmoc±£»¤
A. Fmoc±£»¤»úÖÆ
B. ÔÚ°±»ùËá±£»¤Àú³ÌÖÐÐγÉÊܱ£»¤¶þëĵĻúÖÆ
˼Á¿µ½×ÝÈ»ÊǺÜС±ÈÀýµÄÔÓÖÊÒ²»áµ¼ÖÂÊÕÂʺʹ¿¶ÈϽµ£¬Òò´ËË«·½ÅäºÏµÃ³öÁË×èֹʹÓà Fmoc-ClµÄ½áÂÛ¡£ÓÉÓÚÕâЩ¸±·´Ó¦ÓëÀëÈ¥»ùÍŵÄÖÊÁ¿Óйأ¬AshishС×齨ÒéʹÓÃFmoc-N3£¬Í¬ÑùCarpino ºÍHanÔÚËûÃǵÄÂÛÎÄÖÐÒ²ÓÐÌáµ½´Ë¿´·¨¡£AshishС×éÌá³öÁËÓÃFmoc-ClºÍµþµª»¯ÄƺϳÉFmoc-N3£¬ÎªÁË×èÖ¹Fmoc-N3ÖÆ±¸ºÍ´æ´¢µÄΣÏÕÐÔ£¬ÏÖ×öÏÖÓ㬸ÃÒªÁìºÏ³ÉµÄFmoc-°±»ùËá¾ßÓнϸߴ¿¶È¡£VerlanderµÈÈËͨ¹ýɸѡ²î±ðµÄÀëÈ¥»ùÍÅ£¬½¨ÒéʹÓÃFmoc-OSU£¬Óë´Ëͬʱ£¬BolinµÈÈ˽¨ÒéʹÓü׹èÍé»ù»¯ÊÔ¼Á±£»¤ôÈ»ù¡£¶àÄêºó£¬BarlosµÈÈËÌá³öÁË´ÓTrt-ClÖÆ±¸Trt-°±»ùËáµÄÒªÁ죬ÒÔ×èÖ¹Trtõ¥ÀàÔÓÖʵÄÌìÉú¡£ØÊºó£¬SureshµÈÈËÌá³öÔڻп·Û±£´æÏÂÓÃFmoc-ClÖÆ±¸Fmoc-°±»ùËᣬ´ËÒªÁìÔÊÐíÔÚÖÐÐÔÌõ¼þϾÙÐС£
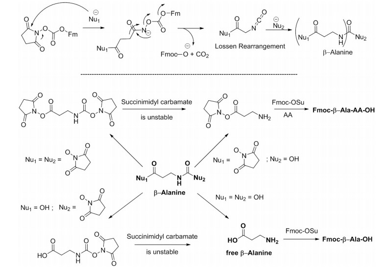
È»¶ø£¬ºã¾ÃÒÔÀ´×î³£ÓõÄFmoc-°±»ùËáºÏ³ÉÒªÁìÊÇFmoc-OSu£¨»ò NHS£©£¬µ±HlebowiczµÈÈ˶ÔFmoc-ClÖÆ±¸Fmoc-°±»ùËáÌá³öÖÊÒÉʱ£¬¸ÃÒªÁìÒ²Êܵ½ÁËÖÊÒÉ¡£Bachem EuropeµÄÑо¿Åú×¢£¬Ê¹ÓÃFmoc-OSuÖÆ±¸µÄFmoc-AA-OHÖк¬ÓÐFmoc-¦Â-Ala-OHºÍFmoc-¦Â-Ala-AA-OH£¬ÕâÁ½¸öÔÓÖÊÊÇÔÚOSu¹¥»÷Ò»¸öôÊ»ùºóͨ¹ýLossenÖØÅÅÐγɵģ¨Í¼2£©¡£

ͼ2 ¦Â-±û°±õ£°·Í¨¹ýLossenÖØÅŵÄÐγɻúÖÆ
ÕâЩ·¢Ã÷ÔÙ´ÎÒý·¢ÁË¿ª·¢ÐÂÊÔ¼Á»òÇå¾²ÒýÈëFmoc»ùÍÅÒªÁìµÄÑо¿ÈÈÇé¡£±í1ÁгöÁËÓÃÓÚ±£»¤°±»ùËáµÄ²î±ðFmocÑÜÉúÎï¼°ÆäÓÃÓÚÖÆ±¸Fmoc-Gly-OHµÄЧ¹û£¬ËäÈ»ÕâÖÖ·´Ó¦¿ÉÒÔÓÃÓÚËùÓа±»ùËáµÄ±£»¤£¬µ«Gly¸üÏÔ×Å£¬ÓÉÓÚËüµÄµÍλ×èÓÐÀûÓÚ¸ßЧÂʵľۺϡ£ÕâЩÒýÈëFmocµÄÑÜÉúÎïÓ¦¾ßÓÐÁ½¸öÒªº¦ÌØÕ÷£º£¨i£©ÎÞÌØÊâ¸ß·´Ó¦ÐÔ£¬×èÖ¹µÍ¾ÛëĵÄÐγɣ»£¨ii£©ÀëÈ¥»ùÍÅͨ³£ÊDZ»°±»ùËáÈ¡´úµÄôÇ»ù»¯ºÏÎÔÚ´¦Öóͷ£Àú³ÌÖÐÏà¶Ô¸üÈÝÒ×È¥³ý¡£Òò´Ë£¬AshishС×éÊ×ÏÈÌá³öÁË Fmoc-2-ÛÏ»ù±½²¢ßäßò£¬ËüºÏ³ÉµÄFmocÑÜÉúÎïÖе;ÛëĽÏÉÙ£¨±í1£¬#4£©¡£È»¶ø£¬·´Ó¦ÖÐÊͷŵĸ±²úÆ·2-MBTÏûÈڶȲÐèÒªÓÃÓлúÈܼÁÏ´µÓ²Å»ªÍêȫȥ³ý£¬¶øFmoc-°±»ùËáÔÚÓлúÈܼÁÖÐÒ²ÓÐÒ»¶¨µÄÏûÈÚ¶È£¬Òò´Ëµ¹ÔËÓÚ×îÖÕ²úÂÊ¡£VerlanderµÈÈËÓöµ½ÁËÀàËÆµÄÎÊÌ⣬µ±Ê¹Ó㨶ࣩÂȱ½»ùÑÜÉúÎïʱ£¬ÓлúÈܼÁ´¼ÎÛȾÁË×îÖÕ²úÆ·£¬µ¼ÖÂ×ÜÊÕÂʵͣ¨4-30%£©¡£
ÆäËûçúçêõ£Ñǰ·µÄÑÜÉúÎÀýÈçÁÚ±½¶þ¼×õ£Ñǰ·¡¢½µÁúÄÔÏ©»ù£¨ËüÊÇÓɽµÁúÄÔÏ©ÑÜÉúµÄ×ÔÓÉ»ù£©ºÍÏìÓ¦µÄÂÝ»·ÀàËÆÎï¡¢ÁùÔªÑÜÉúÎïµÈ£¬Ò²¾ÙÐÐÁËÆÊÎö£¬µ«²¢²»¾ßÓÐÏÔÖøÓÅÊÆ£¨±í1£¬#5-7£©¡£Í¬Ê±£¬µ±½µÁúÄÔÏ©»ùÓëEDC½áÊÊÓÃÓÚË®ÖеĹÌÏàëÄºÏ³É (SPPS) ʱ£¬¼ì²âµ½Á˦Â-±û°±ËáµÄÐγɡ£ÎªÁËսʤʹÓÃçúçêõ£Ñǰ·ÑÜÉúÎïµ¼Ö¦Â-±û°±õ£°·²Ð»ùǶÈëÎÊÌ⣬NajeraµÈÈËÌá³öÁËÒ»ÖÖ¾ÛºÏÎïÐÎʽµÄÊÔ¼Á£¬×îÖÕ¦Â-±û°±õ£°·ÎÛȾÎïÊÇÀο¿ÔÚ¾ÛºÏÎïÔØÌåÉϵ쬵«ÕâÖÖÒªÁìÏÞÖÆÁËÖÆ±¸ÉÙÁ¿±£»¤°±»ùËáµÄʹÓá£

ͨ³£Óë̼¶þÑǰ·Å¼Áª»¯ºÏÎïÀýÈçÎå·ú±½»ù(Pfp)»ò±½²¢Èýßò(Bt)Ò»ÆðʹÓÃµÄÆäËû»îÐÔÎïÖÊ£¬ËäÈ»ÕâЩÊÔ¼Á¼ÛÇ®Ïà¶ÔÆ«¸ß(Pfp)»òÒ×±¬(Bt)£¨±í1¡¢#8¡¢9£©£¬µ«²úÂʺܸߣ¬ÓÐЩʵÑéÊÒÉõÖÁÑо¿ÁËFmoc-ÈýàºÑÜÉúÎ±í1£¬#10£©×÷ΪһÖֺϳÉFmoc-°±»ùËáµÄÒªÁì¡£¹ØÓÚʹÓô¿Ë®ÈÜÒºÒýÈëFmocµÄÒªÁ죬ÒÑʹÓÃFmoc-±½»ù¶þ¼×»ùï³¼×»ùÁòËáÑÎ (Fmoc-ODsp)£¬µ«Î´Ñо¿ÊÇ·ñÓжþëĵÄÐγɣ¨±í1£¬#11£©¡£
ΪÁËսʤëĽṹµ¥Î»ºÏ³ÉÖеÄ×î´óÌôÕ½Ö®Ò»£¬¼´ÔÚ°±»ùËá±£»¤Àú³ÌÖв»Ï£ÍûÐγɶþëĺÍÈýëÄ£¬ÒѾÉîÈëÑо¿ÁË´ó×ÚFmocÀëÈ¥»ùÍŵÄÒªÁì¡£Ö»¹ÜÉÙÁ¿ÊÔ¼ÁÓл¹²»´íµÄЧ¹û£¬µ«»ù±¾Ã»ÓÐÒ»ÖÖÓÐDZÁ¦ÄÜÓ¦ÓÃÓÚ¹¤Òµ»¯Éú²ú¡£ÔÚ´Ë·½Ã棬»ùÓÚ³£ÓõÄ̼¶þÑǰ·Ìí¼Ó¼Á뿵Ľṹ£¬Ìá³öÁËFmocÀëÈ¥»ùÍÅÑÜÉúÎïFmoc-Amox¡£Fmoc-AmoxÒÑÓÃÓÚ±£»¤¼«Ò×±¬·¢¸±·´Ó¦µÄH-Gly-OH£¬ÓкܸߵÄÊÕÂÊ (93%) £¬²¢ÇÒÍêȫûÓÐFmoc-¶þëÄÐÎʽµÄ¸±²úÆ·±¬·¢£¬Õâ´Ó HPLCºÍNMRÆÊÎöÖлñµÃÓ¡Ö¤¡£±ðµÄ£¬AmoxÑÜÉúÎïδÀ´»òÔÊÐíÓÃÓÚÒýÈëÆäËû±£»¤»ùÍÅ£¬ÀýÈçpNZ¡¢AllocºÍBoc¡£
AshishС×éÒÔΪOxymaÊDZÈ̼¶þÑǰ·¸üÓÅÒìµÄÌí¼Ó¼Á£¬Oxyma·´Ó¦ÐÔÇ¿£¬ÔÚëĵĹ¤Òµ»¯Éú²úÖеÄÓ¦ÓÃÔ½À´Ô½ÆÕ±é¡£Ð¡×éÒ²Ñо¿ÁËÆäËû·´Ó¦ÐԽϵ͵Äë¿ÑÜÉúÎïÀ´ÒýÈëFmoc»ùÍÅ£¬´ÓµÚÒ»´Îɸѡ£¨±í1£¬#12-16£©ÖУ¬°üÀ¨2-ôÇ»ùßÁà¤N-Ñõ»¯Îï(HOPO)£¬OxymaÑÜÉúÎ±í1£¬#12£©ÓÉÓÚÆä¸ß·´Ó¦ÐÔ¶ø»ñµÃº¬Á¿½Ï¶àµÄ¶þëÄ£¬È»ºóÊÇHOPO£¨±í1£¬#16£©¡£Çè»ùßÁà¤ë¿Ò²ÊǽϺõÄÌí¼Ó¼Á£¨±í1£¬#15£©£¬µ«Æä¼ÛÇ®Ìڹ󣬲¢ÇÒºÜÄÑ´Ó·´Ó¦ÖÐÈ¥³ý¡£µÚ¶þ´Îɸѡ»ñµÃµÄ¶þëÄÐγÉÁ¿×ÜÌå½ÏÉÙ£¨±í1£¬#17-20£©£¬Òò´ËÑ¡ÔñÇè»ùõ£°·ÑÜÉúÎAmox£©£¨±í1£¬#20£©×÷ÎªÌæ»» HOSu ÒÔÒýÈëFmoc¡£Fmoc-Amox¼ÛÇ®ÏàÒË£¬²¢ÇÒÔÚ·´Ó¦ºó¿ÉÒÔºÜÈÝÒ×µØÈ¥³ý£¬ÕâÓëMBTµÄÇéÐβî±ð£¬Amox ÔÚË®ÖеÄÏûÈÚ¶ÈΪ0.9 M£¬ÕâÈ·±£ÁËËü²»»áÎÛȾ×îÖÕµÄFmoc-°±»ùËᣨ±í1£¬#4£©¡£
ÔÚFmoc-¶þëÄÐγɷ½Ã棬H-Gly-OH±»Ö¤ÊµÊÇÆÀ¹ÀFmoc-AmoxÐÔÄܵÄ×î¼ÑÊÔ¼Á£¬ÓÉÓÚÆäµÍ¿Õ¼äλ×èÓÐÀûÓڸ߱ÈÀýµÄ¹Ñ¾Û»¯¡£Ê¹ÓÃ1¿ËºÍ40¿ËÁ½ÖÖÆ½ÐÐʵÑéÖÆ±¸Fmoc-Gly-OHЧ¹û¿¿½ü£¬·´Ó¦Àú³ÌÐÎòÈçÏ£º½«Fmoc-AmoxµÄ±ûͪÈÜÒº»ºÂý¼ÓÈëµ½½Á°èµÄH-Gly-OHºÍ̼ËáÄÆË®ÈÜÒºÖУ¬Í¨¹ýÒ»Á¬·ÖÅúÌí¼Ó̼ËáÄÆ½«·´Ó¦»ìÏýÎïµÄpHÖµ¼á³ÖÔÚ9-10¡£Í¨¹ýTLCÒÔ¼°pHÎȹÌÐÔ¼à²â·´Ó¦(pHµÄ½µµÍ×÷Ϊ±¬·¢·´Ó¦µÄ±ê¼Ç)¡£·´Ó¦Íê³Éºó(4Сʱ)£¬³ýÈ¥ÈܼÁ£¬Ê£ÓàµÄË®²ãÓÃDCMÏ´µÓ£¬È»ºó¼ÓÈë1N HCl(Ö±µ½pH£¼2)£¬»ñµÃ»Ò°×É«³Áµí£¬È»ºó¹ýÂ˳ÁµíÎﲢʹÓÃÒÒËáÒÒõ¥ºÍÕý¼ºÍé(93£¥)ÖØ½á¾§£¬HPLC¼ì²âFmoc-Gly-OHµÄ´¿¶ÈºÜÊǺá£ÓÉÓÚͨ¹ý¹ÌÏàÊÖÒÕÖÆ±¸µÄFmoc-Gly-Gly-OH»áÓëFmoc-Gly-OHÒ»Æð±»Ï´ÍѳöÀ´£¬Åú×¢ÐγɵĶþëÄÔÓÖÊÊÇÄÑÈ¥³ýµÄ£¬Èçͼ 3Ëùʾ£¬É«Æ×ͼÖÐûÓÐÊӲ쵽¶þëĵĺۼ££¨Í¼3£©¡£±ðµÄ£¬1H NMR δÏÔʾAmox±£´æÈκÎÎÛȾ£¨Í¼4£©£¬ÕâÇåÎúµØÅú×¢AmoxÔںϳÉFmoc°±»ùËá·½ÃæÓкܴóµÄÓÅÊÆ¡£

ͼ3 (A) Fmoc-Gly-OHºÍһͬϴÍѵÄFmoc-Gly-Gly-OHµÄHPLCÉ«Æ×ͼ
(B) Fmoc-Gly-OHµÄHPLCÉ«Æ×ͼ

ͼ4 Fmoc-Gly-OH¡¢Fmoc-AmoxºÍAmoxµÄ1HºÍ13C NMR½ÏÁ¿
ÔÚÕâЩЧ¹ûµÄÍÆ¶¯Ï£¬Ê¹ÓÃÉÏÊöÒªÁìÖÆ±¸ÁËFmoc-Phe-OHºÍFmoc-Val-OH£¨¸÷10 gСÊÔ£©£¨Í¼5ºÍ6£©¡£×îÖÕ²úÆ·µÄ´¿¶Èͨ¹ýHPLCºÍNMRÈ·ÈÏ£¬Ã»ÓÐÏÔʾ¶þëĵÄ΢Á¿Ðγɡ£»¹Ñо¿ÁËÈܼÁÔÚºó´¦Öóͷ£Àú³ÌÖеÄÖ÷ÒªÐÔ£¬½«ËùµÃ²úÆ·ÏûÈÚÔÚDCMÖв¢Ê¹ÓÃÕôÁóË®ÝÍÈ¡£¬DCMºó´¦Öóͷ£ÓÐÖúÓÚÈ¥³ý΢Á¿µÄAmox£¬´Ó¶ø±¬·¢¾NMR֤ʵµÄ´¿Æ·£¨Í¼ 7£©¡£

ͼ5 (I)A. Fmoc-Phe-OHÓëFmoc-Phe-Phe-OHһͬϴÍѵÄHPLCÉ«Æ×ͼ
B. Fmoc-Phe-OHµÄ HPLCÉ«Æ×ͼ
(II) Fmoc-Phe-OH¡¢Fmoc-AmoxºÍAmoxµÄ1HºÍ13C NMR½ÏÁ¿

ͼ6 (I) A. Fmoc-Val-OHÓëFmoc-Val-Val-OHһͬϴÍѵÄHPLCÉ«Æ×ͼ
B. Fmoc-Val-OHµÄ HPLCÉ«Æ×ͼ
(II) Fmoc-Val-OH¡¢Fmoc-AmoxºÍAmoxµÄ1HºÍ13C NMR½ÏÁ¿

ͼ7 ʹÓÃÒÒËáÒÒõ¥ºÍDCMÝÍÈ¡Fmoc-Phe-OHµÄºó´¦Öóͷ£½ÏÁ¿
ÕâЩЧ¹ûÇåÎúµØÅú×¢ÎúFmoc-AmoxÔںϳÉ×îÈÝÒ×±¬·¢¸±·´Ó¦µÄFmoc-°±»ùËá·½Ãæ¾ßÓкܴóµÄÓÅÔ½ÐÔ¡£
Fmoc-°±»ùËáµÄºÏ³ÉʵÀý£º
1¡¢½«¸Ê°±Ëᣨ131.34mmol£©¡¢Ì¼ËáÄÆ£¨106mmol£©¼Óµ½´¿»¯Ë®ÖУ¬µÎ¼ÓFmoc-Amox£¨119.4mmol£©µÄ±ûͪÈÜÒº£¬°ü¹Ü·´Ó¦ÒºpHʼÖÕ¼á³ÖÔÚ9-10¡£´ýTLC¼ì²âFmoc-Amox·´Ó¦ÍêÈ«£¬½«·´Ó¦ÒºÅ¨ËõÈ¥³ý±ûͪºóÓöþÂȼ×ÍéÝÍÈ¡³ýÔÓ£¬Ë®ÏàÓÃ1N HClµ÷Ëᣬ´ó×Ú°×É«¹ÌÌåÎö³ö£¬¹ýÂË£¬Â˱ýÓô¿»¯Ë®Ï´Èý±é¡£ÍøÂç¹ÌÌåÓÃÒÒËáÒÒõ¥/Õý¼ºÍéÖØ½á¾§£¬»ñµÃ¸ß´¿¶ÈµÄFmoc-¸Ê°±Ëá¡£
2¡¢½«±½±û°±Ëá»òçÓ°±Ëᣨ33mmol£©¡¢Ì¼ËáÄÆ£¨75mmol£©¼Óµ½´¿»¯Ë®ÖУ¬µÎ¼ÓFmoc-Amox£¨30mmol£©µÄ±ûͪÈÜÒº£¬°ü¹Ü·´Ó¦ÒºpHʼÖÕ¼á³ÖÔÚ9-10¡£´ýTLC¼ì²âFmoc-Amox·´Ó¦ÍêÈ«£¬½«·´Ó¦ÒºÅ¨ËõÈ¥³ý±ûͪºóÓöþÂȼ×ÍéÝÍÈ¡³ýÔÓ£¬Ë®ÏàÓÃ1N HClµ÷Ëᣬ´ó×Ú°×É«¹ÌÌåÎö³ö£¬¹ýÂË£¬Â˱ýÓô¿»¯Ë®Ï´Èý±é¡£ÍøÂç¹ÌÌåÓÃÒÒËáÒÒõ¥/Õý¼ºÍéÖØ½á¾§£¬»ñµÃ¸ß´¿¶ÈµÄFmoc-±½±û°±Ëá»òFmoc-çÓ°±Ëá¡£
ÌÚ²©tengbo9885¹ÙÍø×Ô2003Ä꽨ÉèÒÔÀ´×¨×¢ÓÚÌØÉ«õ£°·¼ü×é³ÉËõºÏ¼Á¡¢±£»¤¼ÁÁìÓò²úÆ·µÄÑз¢ÓëÉú²ú£¬Æ·ÖÖÆëÈ«¡¢ÖÊÁ¿ÓÅ£¬»¶Ó¿Í»§Ñ¡¹º¡£¸ü¶à²úÆ·Çë»á¼ûÌÚ²©tengbo9885¹ÙÍøÉúÎï¹ÙÍø¡£
