ÐÂÎŶ¯Ì¬
ÔÚÉÏһƪÎÄÕÂÖУ¬ÎÒÃÇ̽ÌÖÁËÃÑÀà±£»¤»ùÔÚ±£»¤ôÇ»ù·½ÃæµÄÓ¦Óᣱ¾ÎĽ«½øÒ»²½ÉîÈëÌÖÂÛôÇ»ù±£»¤Õ½ÂÔ£¬Ö÷Òª°üÀ¨õ¥Àà±£»¤»ùµÄÓ¦ÓÃÒÔ¼°¶þ´¼µÄ±£»¤¡£Í¨Ì«¹ýÎöÖÖÖÖ±£»¤»ùµÄÌØÕ÷ºÍÓ¦Óó¡¾°£¬Ï£ÍûÄܼÓÉî¸÷È˶ÔôÇ»ù±£»¤Õ½ÂÔµÄÃ÷È·£¬´Ó¶øÔںϳÉÀú³ÌÖÐÄÜÓÐÔ½·¢ÎÞаµÄÑ¡Ôñ¡£
õ¥Àà±£»¤»ùÊÇÒ»ÖÖ¾¼ÃÓÐÓõÄôÇ»ù±£»¤ÒªÁ죬´óÖ¿ÉÒÔ·ÖΪôÈËáõ¥¡¢Ì¼Ëáõ¥ºÍ»ÇËáõ¥£¬ÆäÖÐ×î³£ÓõÄÊÇôÈËáõ¥Àà±£»¤»ù¡£
ôÈËáõ¥Àà±£»¤»ù³£ÓõÄÓÐÒÒõ£»ù£¨Ac£©¡¢±½¼×õ£»ù£¨Bz£©¡¢ÌØÎìõ£»ù£¨Piv£©µÈ£¬ÆÕ±éÓÃÓÚÌÇ»¯Ñ§¡¢¶àëÄ»¯Ñ§µÈµÄºÏ³ÉÖС£ÒýÈëõ£»ùµÄÒªÁìÒ»Ñùƽ³£´óͬСÒ죬ÓÃÏìÓ¦µÄõ£ÂÈ»òÕßËáôûÔڼÒÔßÁण¬ÈýÒÒ°·ÎªÖ÷£©±£´æÏÂÓë´¼·´Ó¦»ñµÃÏìÓ¦µÄõ¥¡£Èô·´Ó¦¹ýÂý£¬ÓÈÆäÊÇ´óλ×èµÄµ×Î¿ÉÒÔ¼ÓÈëDMAPÀ´¼ÓËÙ·´Ó¦¡£ÁíÍ⣬ÔÚ¶àôÇ»ùµ×ÎïÖУ¬ÌØÎìõ£ÂÈ¿ÉÒÔÑ¡ÔñÐԵı£»¤²®´¼¡£

Ò»Ñùƽ³£ÇéÐÎÏ£¬õ¥»ùÔÚ¼îÐÔÌõ¼þÏÂË®½â¼´¿É³ýÈ¥£¬ÈçK2CO3¡¢NH3¡¢Ë®ºÏëµȡ£ÉÏÊöÌáµ½µÄõ£»ùË®½âÄÜÁ¦Ë³Ðò´óÖÂΪ£ºÌØÎìõ£»ùPiv<±½¼×õ£»ùBz<ÒÒõ£»ùAc£¬Ê¹ÓÃÕâЩ±£»¤»ùµÄË®½âÄÑÒ×£¬¿ÉÒÔÔÚÌØÎìõ£»ù±£´æÏ£¬Ñ¡ÔñÐÔµÄÍÑÈ¥ÒÒõ£»ùµÈ¡£ÒýÈëÓëÍÑÈ¥µÄ³£ÓÃÌõ¼þ¼°ÊµÀýÈçÏ£º
01 ÒÒõ£»ù£¨Ac£©
±£»¤£º¢Ù£ºAc2O»òAcCl£¬Py£¬DMAP£»¢Ú£ºAc2O£¬TMSOTf£¨Cat.£©, CH2Cl2 £¬0¡æ

Íѱ£»¤£º¢Ù£ºK2CO3 £¬MeOH/H2O£¬20¡æ£»¢Ú£ºNH2NH2 £¬MeOH

02 ±½¼×õ£»ù£¨Bz£©
±£»¤£ºBzCl£¬Et3N£¬CH2Cl2£¬0¡æ

Íѱ£»¤£º¢Ù£ºNaOH£¬MeOH£»¢Ú£ºEt3N£¬MeOH£¬H2O£¨1:5:1£©£¬reflux

03 ÌØÎìõ£»ù£¨Piv£©
±£»¤£º¢Ù£ºPivCl£¬Py£¬0-25¡æ£¬DCM£»¢Ú£ºPiv2O£¬MgBr2£¬TEA£¬CH2Cl2£¬r.t.

Íѱ£»¤£º¢Ù£ºBu4N+OH-£¬20¡æ£»¢Ú£ºMeONa£¬MeOH

̼Ëáõ¥Í¬ÑùÒ²ÊDZ£»¤ôÇ»ùµÄÒ»ÖÖÊֶΣ¬¿ÉÒÔͨ¹ý¼îË®½âÍѳý£¬Ò²¿ÉÒÔʹÓõڶþ¸öÍé»ùÈ¡´úÎïÍÑȥ̼Ëáõ¥£¬³£Óõı£»¤»ùÓÐ9-Ü̼×ÑõôÊ»ù£¨-Fmoc£©¡¢2,2,2-ÈýÂÈÒÒÑõôÊ»ù£¨-Troc£©µÈ£¬ÒýÈëÓëÍÑÈ¥µÄ³£ÓÃÌõ¼þ¼°ÊµÀýÈçÏ£º
01 9-Ü̼×ÑõôÊ»ù£¨-Fmoc£©
±£»¤£ºFmoc-Cl£¬Py£¬0¡æ£»Íѱ£»¤£º¢Ù£ºEt3N£¬Py£»¢Ú£ºDBU£¬CH2Cl2

02 2,2,2-ÈýÂÈÒÒÑõôÊ»ù£¨-Troc£©
±£»¤£º¢Ù£ºTroc-Cl£¬Py£¬20¡æ£»¢Ú£ºTroc-Cl£¬Et3N£¬DMAP£¬CH2Cl2

Íѱ£»¤£º¢Ù£ºZn/AcOH£¬20¡æ£»¢Ú£ºK2CO3£¬MeOH/H2O

»ÇËáõ¥±£»¤»ùÖ÷ÒªÓÃÓÚ±£»¤ÌÇÀ໯ºÏÎҲ¿ÉÒÔÓÃÓÚÄ³Ð©ÌØ¶¨µÄ»¯ºÏÎïÖС£³£ÓõÄÓм×Íé»Çõ£»ù£¨Ms£©¡¢¶Ô¼×±½»Çõ£»ù£¨Ts£©µÈ£¬²»¹ýÐí¶àÇéÐÎÏ£¬ÒýÈë»Çõ£»ù£¨OMs£¬OTs£©¸ü¶àµÄÊÇ×÷ΪÀëÈ¥»ùÍžÙÐз´Ó¦µÄ¡£

01 ¼×Íé»Çõ£»ù£¨Ms£©
±£»¤£ºMs-Cl£¬Et3N£¬CH2Cl2£¬0¡æ£»Íѱ£»¤£ºNa(Hg)£¬i-PrOH
02 ¶Ô¼×±½»Çõ£»ù£¨Ts£©
±£»¤£ºTs-Cl£¬Py£¬CH2Cl2£¬0¡æ£»Íѱ£»¤£ºhv£¬Et3N£¬MeOH

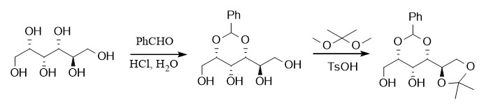
¶þ´¼£¨1,2-¶þ´¼ºÍ1,3-¶þ´¼£©ÔںϳÉÉè¼ÆºÍ×ÔÈ»»¯ºÏÎïÈç´ó»·ÄÚõ¥µÈÖкÜÊÇÆÕ±é£¬´Ó¶øÑÜÉú³öÁËÐí¶àÏìÓ¦µÄ±£»¤»ù¡£¶þ´¼µÄ±£»¤Í¨³£ÊÇÓÃȩͪÀ´ÊµÏÖ£¬Í¬ÑùµÄ£¬È©ÍªÒ²¿ÉÒÔͨ¹ý¶þ´¼¾ÙÐб£»¤£¬ÅäºÏµÄ±£»¤»ù³ÆÎªËõÈ©£¬Ëõͪ¡£ÆäÖУ¬¶þÑõÎì»·£¬¶þÑõÁù»·ÀàÊǶþ´¼×îÆÕ±éµÄ±£»¤»ù¡£»ùÓÚÈÈÁ¦Ñ§ÎȹÌÐÔµÄÒòËØ£¬ËõÈ©Àà±£»¤»ù¸üÇãÏòÓÚÐγÉÁùÔª»·¼´¶þÑõÁù»·£¬¶øËõͪÀà±£»¤»ù¸üÈÝÒ×ÐγÉÎåÔª»·£¬È磺×î³£ÓõÄËõÈ©ÀàÊÇÜв汣»¤»ù£¬ÒýÈëÒªÁìÓÐPhCHO/ZnCl2»òH+¡¢PhCH(OMe)2/TsOH/DMFµÈ£»ËõͪÀà×î³£ÓõÄÊDZûͪ²æ±£»¤»ù£¬Óñûͪ»òÕß2,2-¶þ¼×Ñõ»ù±ûÍéͨ¹ýËá´ß»¯ÒýÈë¡£
ËõÈ©ºÍËõͪһÑùƽ³£¶¼ÊÇËáÃô¸ÐµÄ£¬¿ÉÒÔÔÚËáÐÔÌõ¼þÏÂÍѱ£»¤£¬ÁíÍâÜв汣»¤»ù»¹¿ÉÒÔͨ¹ýÇâ½â·´Ó¦³ýÈ¥¡£

³ýÁËËõÈ©ËõͪÍ⣬̼Ëáõ¥Ò²¿ÉÒÔÓÃÀ´±£»¤¶þ´¼£¬ÈçÈý¹âÆøÔڼPy£¬Et3N£©±£´æÏÂÓë1,2-¶þ´¼·´Ó¦ÌìÉú̼Ëáõ¥£¬È磺

±¾ÎÄÖ÷ÒªÏÈÈÝÁËõ¥Àà±£»¤»ùÔÚôÇ»ù±£»¤ÖеÄÓ¦ÓÃÒÔ¼°¶þ´¼µÄ±£»¤ºÍÍѱ£»¤£¬Ö¼ÔÚÍØ¿íÑо¿ÕßÔںϳÉÊÂÇéʱµÄÑ¡Ôñ¹æÄ£¡£ÔÚÏÖʵ²Ù×÷ÖУ¬Ñо¿Õß¿ÉÒÔÆ¾Ö¤ÏêϸʵÑéÌõ¼þÑ¡ÔñºÏÊʵı£»¤ÓëÈ¥±£»¤Õ½ÂÔ£¬ÒÔÆÚµÖ´ï¸ü¸ßµÄºÏЧ¹ûÂÊ¡£
×Ô2003Ä꽨ÉèÒÔÀ´£¬ÌÚ²©tengbo9885¹ÙÍøÉúÎïһֱרעÓÚËõºÏ¼Á¡¢±£»¤¼Á¡¢¶àëÄÒ©ÎïÒÔ¼°Ö¬ÖÊÌåĤ²ÄµÈÁìÓòµÄÑз¢ºÍÏúÊÛ¡£¹«Ë¾ÏÖÒÑÍÆ³ö¶àÖÖ±£»¤ÊÔ¼Á£¬ÖîÈçFmoc-Cl/Fmoc-Osu¡¢Troc-Cl/Troc-Osu¡¢Tr-Cl¡¢DMT-ClµÈ£¬ÎÒÃÇÆÚ´ýÓÐÐËȤµÄ¿Í»§À´µç×Éѯ£¬ÅäºÏ̽ÌÖºÏ×÷»ú»á¡£
